М
Молодежь
К
Компьютеры-и-электроника
Д
Дом-и-сад
С
Стиль-и-уход-за-собой
П
Праздники-и-традиции
Т
Транспорт
П
Путешествия
С
Семейная-жизнь
Ф
Философия-и-религия
Б
Без категории
М
Мир-работы
Х
Хобби-и-рукоделие
И
Искусство-и-развлечения
В
Взаимоотношения
З
Здоровье
К
Кулинария-и-гостеприимство
Ф
Финансы-и-бизнес
П
Питомцы-и-животные
О
Образование
О
Образование-и-коммуникации
полнаума
полнаума
10.02.2023 17:57 •  Химия

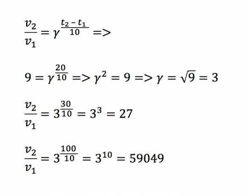
При повышении температуры на 20° скорость реакции возросла в 9 раз. чему равен температурный коэффициент этой реакции и во сколько раз увеличится ее скорость при повышении температуры на 30° и на 100°

👇
Ответ:
ангелина618
ангелина618
10.02.2023

γ = 3

При повышении на 30° - в 27 раз

При повышении на 100° - в 59049 раз

Объяснение:


При повышении температуры на 20° скорость реакции возросла в 9 раз. чему равен температурный коэффиц
4,4(91 оценок)
Открыть все ответы
Ответ:
astakastaj
astakastaj
10.02.2023

Объяснение:

Дано: V(води)= 3 л = 3000 мл; ω(NaOH)=0,2 ρ(води)=1 г/мл

Знайти: m(NaOH)-?

Розв'язання:

Обчислюємо масу води за формулою:

m(води)=V(води)•ρ(води)=3000 мл•1 г/мл=3000 г.

Бачимо, що для води маса співпадає з об'ємом, тому ця дія не є обов'язковою.

Нехай маса натрій гідроксиду рівна х г, тоді масова частка в розчині буде

ω(NaOH)=х г / (х г + m(води));

0,2 =  х / (х + 3000);

0,2 • (х + 3000) = х;

0,2 х  + 600 =х;

х - 0,2х = 600

0,8 х  = 600;

х = 600 : 0,8;

х = 750

Відповідь: m(NaOH) = 750 г.

4,4(23 оценок)
Ответ:
fgugjxg
fgugjxg
10.02.2023

ответ:1-в

2-в

3-б

4-г

5-в

6-в

7-m(соли)=5г, m(воды)=95г

8-

9-кристаллы, содержащие молекулы воды и образующиеся, если в кристаллической решётке катионы образуют более прочную связь с молекулами воды

10-дисперсная система, состоящая из микроскопических капель жидкости, распределенных в другой жидкости

Объяснение:

7.Дано:                                                            

m(р-ра) =100г

w(р-ра) = 5%=0.05

Найти: m(соли), m(воды)

w(р-ра) = m(соли) ∙ 100%\ m(р-ра)

m(соли) = w(р-ра) ∙ m(р-ра)\100%

m(соли) = 100г×0.05 \  100% =5г

m(р-ра) = m(соли) +  m(воды)

m(воды) = m(р-ра) - m(соли)=100г-5г=95г

ответ:  m(соли)=5г, m(воды)=95г

8.

4,7(25 оценок)
Новые ответы от MOGZ: Химия
Полный доступ к MOGZ
Живи умнее Безлимитный доступ к MOGZ Оформи подписку
logo
Вход Регистрация
Что ты хочешь узнать?
Спроси Mozg
Открыть лучший ответ