М
Молодежь
К
Компьютеры-и-электроника
Д
Дом-и-сад
С
Стиль-и-уход-за-собой
П
Праздники-и-традиции
Т
Транспорт
П
Путешествия
С
Семейная-жизнь
Ф
Философия-и-религия
Б
Без категории
М
Мир-работы
Х
Хобби-и-рукоделие
И
Искусство-и-развлечения
В
Взаимоотношения
З
Здоровье
К
Кулинария-и-гостеприимство
Ф
Финансы-и-бизнес
П
Питомцы-и-животные
О
Образование
О
Образование-и-коммуникации
dolgorma1
dolgorma1
01.03.2022 09:06 •  Химия

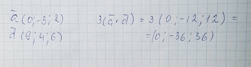
Решите 3(вектор а ×вектор d) a (0;-3;2) d(9;4;6)

👇
Ответ:
ксения1376
ксения1376
01.03.2022
Решение задания смотри на фотографии
Решите 3(вектор а ×вектор d) a (0;-3;2) d(9;4;6)
4,4(28 оценок)
Открыть все ответы
Ответ:
89518099647
89518099647
01.03.2022
Без химии не возможно создать ни один предмет современного быта человека. Даже стройматериалы - продукты химических процессов  и с применением химических добавок и средств. Лекарства, бумага, краски, пищевые добавки, пластмассы, металлы, электроника и т д и т п - все это невозможно без химии. 
Повсеместное присутствие химии загрязняет почву, воздух, воду. В результате в организм человека попадают несвойственные природе вредные вещества которые приводят к аллергиям, онкологии и прочим заболеваниям, в т ч иногда и к мутациям .
4,6(85 оценок)
Ответ:
Anastas1ya1
Anastas1ya1
01.03.2022
Химические знания у первобытных людей.
Обычно в курсах общей методологии в самом начале рассматриваются виды познания. И первым видом познания, который выделяют методологи, является обыденное познание, благодаря которому человек приобретает жизненный опыт и отрабатывают технологические приемы.Именно с этих позиций мы с вами и должны рассматривать вклад первобытных в химические знания. Наблюдения за явлениями природы, созерцание природы было первым опытом, который обобщался, и человек овладевал определенными навыками и знаниями.Как отмечают многие историки науки, первой лабораторией человека был костер. Овладев огнем  100 тыс. лет назад, человек стал испытывать действие огня на камни, минералы, керамику, руды.Очевидно, таким образом, он мог плавить металлы из которых делал различные украшения. Названия металлов связывались с космическими явлениями. Так название золота Aurum – «аврора» - утренняя заря. Древние египтяне, армяне и другие народы знали о метеоритном железе. В эпоху первобытного общества были известны и некоторые минеральные краски (охра, умбра).Все эти неполные, фрагментарные знания мы имеем благодаря успехам химии 20 века. В 1960 г. американскому физико-химику Уилларду Франку Либби была присуждена Нобелевская премия: «За введение метода использования углерода-14 для определения возраста в археологии, геологии, геофизике и других областях науки». Сам этот метод, метод радиоуглеродного датирования (по изотопу 14С) был им предложен в 1947 г. Тем самым сама химия позволила нам познавать ее далекое
Зарождение ремесленной химии.
Практическая и ремесленная химия зародилась в эпоху рабовладения во всех странах Средней и Ближней Азии, Северной Африке и на берегах Средиземного моря. Какие же основные ремесла мы встречаем в это время?Можно выделить 3 вида ремесленной химической техники:1. Высокотемпературные процессы – керамика, стекловарерие, металлургия;2. Фармацевтика и парфюмерия;3. Получение красок и техника окрашивания.Итак, рассмотрим каждое направление подробнее.
Высокотемпературные процессы (металлургия, керамика, стекловарение).
В металлургии быстро расширялись сведения о металлах и их выплавки из руд.Стекловарение было освоено довольно давно. Существует легенда, что стекло было открыто случайно моряками-финикийцами, потерпевшими бедствие и высадившимися на одном острове, где развели костер и обложили его кусками соды. Когда костер потух, моряки обнаружили бусинки. Но легенда есть легенда, хотя она и бывает порой основана на реальных фактах. Археологические же раскопки говорят о том, что в Древнем Египте бусинки их стекла относятся к 2500 г. до н.э. Крупные изделия из стекла в это время производить не могли, поэтому изделия крупные (ваза) изготовлялись из спеченного материала.В середине 2 тысячелетия до н.э. в Древнем Египте начало развиваться настоящее производство стекла для декоративного и поделочного материала. Содержание калия в стекле низкое, что свидетельствует о том, что кремнезем плавили с содой. За счет большого содержания соды удалось снизить температуру плавки, однако, качественные характеристики ухудшались. Окраска, естественно, зависела от добавок.В Месопотамии развитое стеклянное производство уже появилось в 17 веке да н.э.В Восточной Палестине в раскопках, относящихся к 3 тыс. до н.э. были обнаружены печи для выплавки стекла. Выдувание стекла, по-видимому, изобретено на пороге новой эры, а более ранние изделия из стекла были литыми.Изготовление керамики – это самое древнее из ремесленных производств. Кроме посуды изготовлялись плитки для внешней отделки зданий. Этот вид ремесла был развит в Китае, Египте, Междуречье и т.д.
Фармация и парфюмерия
Ряд рецептов фармацевтических средств так называемый «Папирус Эберса» (16 в. до н.э.) Они хотя и не содержат чисто химических процедур, но свидетельствуют о том, что в арсенале ремесленников были такие приемы: вываривание, настаивание, выжимание, сбраживание, сцеживание и т.д. По свидетельству историка Плиния в его время было известно много медикаментов. FeSO4 использовали как рвотное, растворы квасцов – для компрессов и полоскания горла . Были известны яды, которые использовались на охоте и во время войны. Парфюмерные и косметические средства получались выдавливанием, экстракцией и т.д., как правило, из растений.    Получение красок и технологии окрашивания.
Знания в разные эпохи , можно рисунок
4,5(52 оценок)
Это интересно:
Новые ответы от MOGZ: Химия
logo
Вход Регистрация
Что ты хочешь узнать?
Спроси Mozg
Открыть лучший ответ