М
Молодежь
К
Компьютеры-и-электроника
Д
Дом-и-сад
С
Стиль-и-уход-за-собой
П
Праздники-и-традиции
Т
Транспорт
П
Путешествия
С
Семейная-жизнь
Ф
Философия-и-религия
Б
Без категории
М
Мир-работы
Х
Хобби-и-рукоделие
И
Искусство-и-развлечения
В
Взаимоотношения
З
Здоровье
К
Кулинария-и-гостеприимство
Ф
Финансы-и-бизнес
П
Питомцы-и-животные
О
Образование
О
Образование-и-коммуникации
madina319
madina319
07.01.2020 00:17 •  Химия

При згорянні 1,5г двовалентного елемента утворилося 2,1г оксиду який це елемент

👇
Ответ:
iriskaesipova
iriskaesipova
07.01.2020

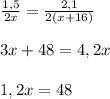
Ме - неизвестный двухвалентный металл

2Me + O₂ = 2MeO

М(Me) = x г/моль - молярная масса двухвалентного металла

М(MeO) = x + 16 г/моль - молярная масса оксида двухвалентного металла


\frac{1,5}{2x}= \frac{2,1}{2(x+16)} \\ \\ 3x+48 = 4,2x\\ \\ 1,2x=48

x = 40 г/моль

неизвестный двухвалентный металл - это Са - кальций

---------------------------------------------------------------------------------------

4,7(51 оценок)
Открыть все ответы
Ответ:
Matvei337
Matvei337
07.01.2020

Қышқыл — химиялық қосынды, көк лакмус қағазына қызғылт рең беретін ерітінді, дәмі қышқыл. Қышқылдар құрамына қарай оттекті, оттексіз болып, олардағы сутек атомдарының сандарына қарай бір және көп негізді деп бөлінеді. Қышқыл ертітінділерде түсін өзгертетін заттарды индикаторлар деп атайды

Қышқылдар сутек атомынан және қышқыл қалдығынан құралған күрделі зат, олар екі топқа бөлінеді: Оттекті және Оттексіз Оттекті: HNO³, H²SO(4), H²CO³, H²SiO³, H³PO(4), H²SO³ Оттексіз: HCl, H(I), HBr, HF, H²S

Азот, тұз, күкірт қышқылдары сұйық заттар, ал фосфор және бор қышқылы (Н3BО3) - қатты заттар болса, кремний қышқылы суда ерімейтін іркілдек зат. Көмір және күкіртті қышқылдары тұрақсыз, оңай айырылатын заттар.

H2CO3→CO2↑+H2O;

H2SO3→H2O|+SO2↑

Объяснение:

4,5(31 оценок)
Ответ:
1000Умник
1000Умник
07.01.2020

обьяснение

Вольфрам

Тугоплавкий прочный металл, стального цвета или белый

Вольфрам

Название, символ, номер Вольфрам / Wolframium (W), 74

Атомная масса

(молярная масса) 183,84(1) а. е. м. (г/моль)

Электронная конфигурация [Xe] 4f14 5d4 6s2

Радиус атома 141 пм

Ковалентный радиус 170 пм

Радиус иона (+6e) 62 (+4e) 70 пм

Электроотрицательность 2,3 (шк

ала Полинга)

Электродный потенциал W ← W3+ 0,11 В

W ← W6+ 0,68 В

Степени окисления 6, 5, 4, 3, 2, 0

Энергия ионизации

(первый электрон)  769,7 (7,98) кДж/моль (эВ)

Плотность (при н. у.) 19,25 г/см³

Температура плавления 3695 K (3422 °C, 6192 °F)

Температура кипения 5828 K (5555 °C, 10031 °F)

Уд. теплота плавления 285,3 кДж/кг

52,31 кДж/моль

Уд. теплота испарения 4482 кДж/кг 824 кДж/моль

Молярная теплоёмкость 24,27 Дж/(K·моль)

Молярный объём 9,53 см³/моль

Структура решётки кубическая

объёмноцентрированная

Параметры решётки 3,160 Å

Температура Дебая 310 K

Теплопроводность (300 K) 162,8 Вт/(м·К)

Номер CAS 7440-33-7

ОТВЕТ  

Хорошо проводит электрический ток.

Хорошо проводит тепло, не окисляется на воздухе.

Без запаха.

Светло-серый металл.

Твердый.

Плотность при н. у. равна 19,30

4,4(39 оценок)
Это интересно:
Новые ответы от MOGZ: Химия
logo
Вход Регистрация
Что ты хочешь узнать?
Спроси Mozg
Открыть лучший ответ