М
Молодежь
К
Компьютеры-и-электроника
Д
Дом-и-сад
С
Стиль-и-уход-за-собой
П
Праздники-и-традиции
Т
Транспорт
П
Путешествия
С
Семейная-жизнь
Ф
Философия-и-религия
Б
Без категории
М
Мир-работы
Х
Хобби-и-рукоделие
И
Искусство-и-развлечения
В
Взаимоотношения
З
Здоровье
К
Кулинария-и-гостеприимство
Ф
Финансы-и-бизнес
П
Питомцы-и-животные
О
Образование
О
Образование-и-коммуникации
ЕгорВанШот
ЕгорВанШот
26.10.2021 00:54 •  Химия

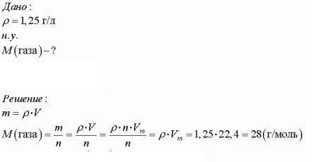
При н.у. плотность газа равна 1.25г/дм3. это подробно распишите

👇
Ответ:
volkow2711ovuu5e
volkow2711ovuu5e
26.10.2021

тк молярная масса газа  = 28:2 = 14 . по таблице менделеева мы видим что это азот

решение приложено.


При н.у. плотность газа равна 1.25г/дм3. это подробно распишите
При н.у. плотность газа равна 1.25г/дм3. это подробно распишите
4,7(20 оценок)
Открыть все ответы
Ответ:
egorik2506
egorik2506
26.10.2021
Дано:
V(SO₃)= 44,8л.
NaOH
Vm=22,4л./моль

m(H₂O)-?
1. Определим количество вещества сульфур оксида(Vl) в объеме 22,4л.:
n(SO₃)=V(SO₃)÷Vm=44,8л÷22,4л./моль= 2моль.
2. Запишем уравнение реакции  и проанализируем его:
2NaOH + SO₃ = Na₂SO₄ +H₂O
При взаимодействии 1моль сульфур оксида(VI) с натрий гидроксидом   образуется 1 моль воды, значит если будет взаимодействовать 2моль сульфур оксид (VI), то образуется 2моль воды.
3. Молярная масса воды M(H₂O)=18г./моль, значит 2 моль воды равно:
m(H₂O)=2мольх 18г./моль=36г.
4. ответ: при взаимодействии натрий гидроксида с сульфур оксидом (VI),
образуется 36г. воды.
4,8(10 оценок)
Ответ:
Настечок
Настечок
26.10.2021
Можно за  пример взять качественную реакцию на этиловый спирт- получение диэтилового эфира
уксусная кислота, спирт этиловый и концентрированная серная кислота - нагреть, появится запах растворителя (этилацетата)
серная кислота как водоотнимающее средство
проблема может быть только с кислотой серной (в аккумуляторах можно посмотреть)
Вторая реакция - образование борноэтилового эфира (кислота борная в аптеке есть, + спирт этиловый и нагреть. то что получится будет гореть голубым пламенем с зеленой каймой - это борноэтиловый эфир - качественная реакция на борную кислоту)
4,4(15 оценок)
Это интересно:
Новые ответы от MOGZ: Химия
logo
Вход Регистрация
Что ты хочешь узнать?
Спроси Mozg
Открыть лучший ответ