М
Молодежь
К
Компьютеры-и-электроника
Д
Дом-и-сад
С
Стиль-и-уход-за-собой
П
Праздники-и-традиции
Т
Транспорт
П
Путешествия
С
Семейная-жизнь
Ф
Философия-и-религия
Б
Без категории
М
Мир-работы
Х
Хобби-и-рукоделие
И
Искусство-и-развлечения
В
Взаимоотношения
З
Здоровье
К
Кулинария-и-гостеприимство
Ф
Финансы-и-бизнес
П
Питомцы-и-животные
О
Образование
О
Образование-и-коммуникации
Marshall123
Marshall123
11.04.2022 22:48 •  Химия

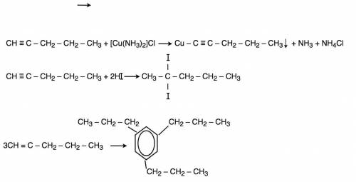
Определите строение и назовите соединения состава с5н8, если оно реагирует с аммиачным раствором сucl, давая осадок красного цвета, с hi образует 2,2-диийодпентан, а при циклической полимеризации превращается в 1,3,5-трипропилбензол. напишите схемы этих реакций.

👇
Ответ:
nastyakot11
nastyakot11
11.04.2022

CH≡C-CH₂-CH₂-CH₃

пентин-1

Объяснение:


Определите строение и назовите соединения состава с5н8, если оно реагирует с аммиачным раствором сuc
4,4(25 оценок)
Открыть все ответы
Ответ:
katyvolkova81
katyvolkova81
11.04.2022

№ 4 При некоторой температуре равновесные концентрации в системе: 2SО2(г) + О2(г) ↔ 2SO3(г) 2б

составляли: [SО2 ] = 0,10 моль/л, [О2 ] = 0,16 моль/л, [SО3 ] = 0,08 моль/л. Вычислите константу

равновесия .

№ 5 Вычислите изменение свободной энергии Гиббса для реакции: 2б

Cr2O3 (тв) + 3 C (тв) = 2Cr (тв)+3CO (г)

Определите по полученному значению, является ли реакция самопроизвольной или нет.

№ 2 (а) Одним из лабораторных получения кислорода является разложение пероксида

водорода: 2Н 2О2 + MnO2 = 2Н2 О + O2 + MnO2. Назовите катализатор данной реакции.

Объясните протекание реакции гетерогенного катализа с точки зрения теории частиц. 3б

№ 2 (б) На графике приведено значение энергии активации для реакции, протекающей в отсутствии

катализатора. Покажите на данном графике изменение энергии активации для данной

реакции, иллюстрирующее «ра

Объяснение:

№ 5 Вычислите изменение свободной энергии Гиббса для реакции: 2б

Cr2O3 (тв) + 3 C (тв) = 2Cr (тв)+3CO (г)

Определите по полученному значению, является ли реакция самопроизвольной или нет.

№ 2 (а) Одним из лабораторных получения кислорода является разложение пероксида

водорода: 2Н 2О2 + MnO2 = 2Н2 О + O2 + MnO2. Назовите катализатор данной реакции.

Объясните протекание реакции гетерогенного катализа с точки зрения теории частиц. 3б

№ 2 (б) На графике приведено значение энергии активации для реакции, протекающей в отсутствии

катализатора. Покажите на данном графике изменение энергии активации для данной

реакции, иллюстрирующее «работу» катализатора. 2б

4,8(74 оценок)
Ответ:
metalnikovat
metalnikovat
11.04.2022
Na2CO3 + H2SO4 = Na2SO4 + H2O + CO2↑
Карбонат натрия - средняя соль, образованная сильным основанием - гидроксидом натрия и слабой угольной кислотой, на нее действуем сильной кислотой - серной. Серная кислота вытесняет слабые кислоты из их солей. При вытеснении угольной кислоты из соли, она разлагается на углекислый газ и воду.

Na2SO4 + BaCl2 = BaSO4↓+ 2NaCl
Данная реакция является качественной на сульфат-ион. Растворимые соли бария, взаимодействуя с растворимыми в воде растворами сульфатов и серной кислотой, образовывают нерастворимый осадок - сульфат бария. При составлении подобных обменных реакций, которые проходят до конца с образованием осадка лучше всего пользоваться таблицей растворимости оснований, кислот и солей.
4,8(77 оценок)
Это интересно:
Новые ответы от MOGZ: Химия
logo
Вход Регистрация
Что ты хочешь узнать?
Спроси Mozg
Открыть лучший ответ