М
Молодежь
К
Компьютеры-и-электроника
Д
Дом-и-сад
С
Стиль-и-уход-за-собой
П
Праздники-и-традиции
Т
Транспорт
П
Путешествия
С
Семейная-жизнь
Ф
Философия-и-религия
Б
Без категории
М
Мир-работы
Х
Хобби-и-рукоделие
И
Искусство-и-развлечения
В
Взаимоотношения
З
Здоровье
К
Кулинария-и-гостеприимство
Ф
Финансы-и-бизнес
П
Питомцы-и-животные
О
Образование
О
Образование-и-коммуникации
vvvvsidorina
vvvvsidorina
31.08.2020 09:56 •  Математика

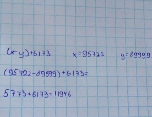
Вычислите значение выражения (х-у)+6173 при х=95722, у=8.

👇
Ответ:
gushagusha
gushagusha
31.08.2020

ответ:11.896

4,5(43 оценок)
Ответ:
vika02bel
vika02bel
31.08.2020

Вот с решением.........


Вычислите значение выражения (х-у)+6173 при х=95722, у=8.
4,4(68 оценок)
Открыть все ответы
Ответ:
Bulmeshka
Bulmeshka
31.08.2020
Хорошо, давайте решим эту задачу пошагово:

Шаг 1: Умножение матриц A и B

Для умножения матриц A и B нужно перемножить каждый элемент строки матрицы A на соответствующий элемент столбца матрицы B и сложить результаты.

Элемент C13 матрицы C будет получаться следующим образом:

C13 = (первый элемент строки A1 * первый элемент столбца B3) + (второй элемент строки A1 * второй элемент столбца B3) + (третий элемент строки A1 * третий элемент столбца B3) + (четвертый элемент строки A1 * четвертый элемент столбца B3)

Шаг 2: Определение значений элементов

Для нахождения элемента C13 матрицы C, нам нужно найти значение каждого элемента строки A1 и столбца B3, а затем перемножить их.

Итак, значение каждого элемента строки A1:

первый элемент строки A1 = 3
второй элемент строки A1 = 1
третий элемент строки A1 = 5
четвертый элемент строки A1 = -2

Значение каждого элемента столбца B3:

первый элемент столбца B3 = -3
второй элемент столбца B3 = -2
третий элемент столбца B3 = -1
четвертый элемент столбца B3 = -2

Шаг 3: Подсчет значения элемента C13

Теперь мы можем вычислить значение элемента C13, умножив каждый элемент строки A1 на соответствующий элемент столбца B3 и сложив результаты:

C13 = (3 * -3) + (1 * -2) + (5 * -1) + (-2 * -2) = -9 - 2 - 5 + 4 = -12.

Ответ: Значение элемента C13 матрицы C равно -12.
4,8(51 оценок)
Ответ:
Добрый день! Я с удовольствием помогу вам разобраться с этой задачей.

Чтобы решить эту задачу, нам понадобится знание некоторых свойств правильных многоугольников и центральных углов.

Давайте разберемся пошагово:

1. По условию задачи, мы имеем правильный вписанный многоугольник. Правильный многоугольник - это многоугольник, у которого все стороны и углы равны. Также, стороны правильного многоугольника равны радиусу окружности, в которую он вписан.

2. Мы знаем, что угол, под которым видна сторона многоугольника из центра окружности, составляет 72°. Такой угол называется центральным углом.

3. Теперь давайте вспомним свойство центральных углов. Центральный угол равен удвоенному углу между лучом, исходящим из центра окружности, и одним из его лучей. В нашем случае, между лучом из центра окружности и одной из его сторон многоугольника.

4. Поскольку у нас правильный многоугольник, то все его углы равны, в том числе и угол между лучом из центра окружности и одной из его сторон. Используя свойство центральных углов, угол между стороной многоугольника и лучом из центра окружности равен половине центрального угла, то есть 36°.

5. Теперь мы можем определить, сколько сторон у многоугольника. Если мы развернем весь многоугольник по выпуклой стороне, то образуется круг вокруг центра окружности. Угол в центре круга равен 360°.

6. Поскольку у нас правильный многоугольник, то между смежными сторонами многоугольника также имеются углы в 360°. Стоит заметить, что между смежными сторонами многоугольника также находится угол в центре круга, и он равен 360°/количеству сторон многоугольника.

7. Мы уже выяснили, что у нас равнобедренный треугольник, и угол между его стороной и лучом из центра окружности составляет 36°. Заметим, что у равнобедренного треугольника два равных угла между основанием и одним из его боковых сторон. Получается, что сумма этих углов равна 36°+36°=72°.

8. Теперь мы знаем, что у равнобедренного треугольника два угла в 72°. Это значит, что общий угол трех сторон многоугольника, заключенных в точке, в которой они пересекаются, равен 72°+72°+72°=216°.

9. Теперь нам осталось только найти, сколько раз полученный угол в 216° умещается в угол в 360°, который образуется, когда мы разворачиваем многоугольник по выпуклой стороне. Для этого делим 360° на 216° и получаем 1,67.

10. Ответ: получается, что в нашем многоугольнике около 1,67 сторон. Поскольку количество сторон многоугольника должно быть целым числом, то ближайшее целое число к 1,67 будет 2. Это значит, что многоугольник имеет 2 стороны.

Итак, получается, что многоугольник, у которого сторона видна под углом 72° из центра окружности, имеет 2 стороны.

Надеюсь, ответ был понятен. Если у вас возникли еще вопросы, я с радостью на них отвечу.
4,8(9 оценок)
logo
Вход Регистрация
Что ты хочешь узнать?
Спроси Mozg
Открыть лучший ответ