М
Молодежь
К
Компьютеры-и-электроника
Д
Дом-и-сад
С
Стиль-и-уход-за-собой
П
Праздники-и-традиции
Т
Транспорт
П
Путешествия
С
Семейная-жизнь
Ф
Философия-и-религия
Б
Без категории
М
Мир-работы
Х
Хобби-и-рукоделие
И
Искусство-и-развлечения
В
Взаимоотношения
З
Здоровье
К
Кулинария-и-гостеприимство
Ф
Финансы-и-бизнес
П
Питомцы-и-животные
О
Образование
О
Образование-и-коммуникации
Leshik1997
Leshik1997
24.03.2022 19:51 •  Математика

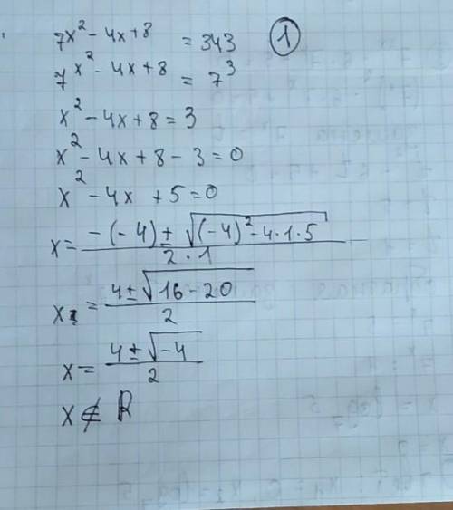
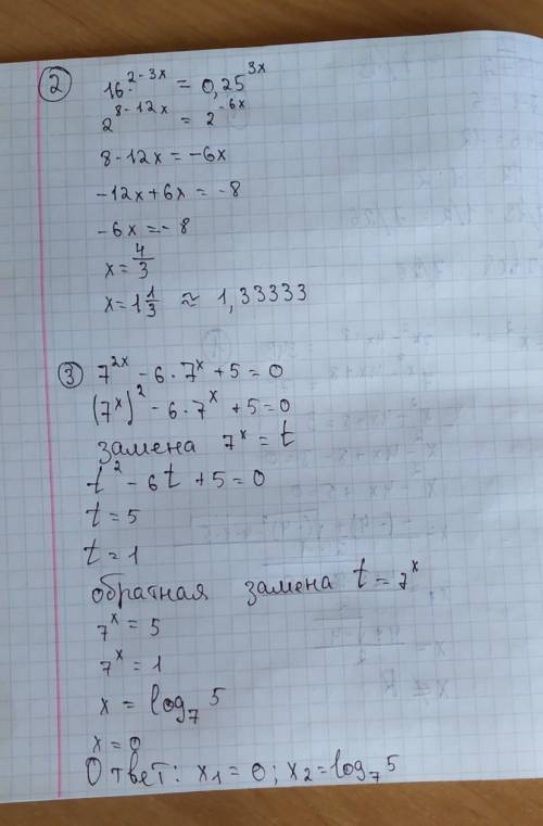
Надо, решить где галочки, полностью расписать

👇
Ответ:
flvby213
flvby213
24.03.2022

подробно...............


Надо, решить где галочки, полностью расписать
Надо, решить где галочки, полностью расписать
4,4(7 оценок)
Открыть все ответы
Ответ:
MissOmnomno
MissOmnomno
24.03.2022
Пусть х тг получает первый мастер в день, а у тг - второй мастер. Вместе они получают за день 16000 тг:
х+у=16000 (1 уравнение)
Первый мастер за 5 дней получает 5х тг, а второй за 4 дня 4у тг, что на 17000 тг меньше:
5х-4у=17000 (2 уравнение)
Составим и решим систему уравнений (методом сложения):
\left \{ {{x+y=16000} \atop {5x-4y=17000}} \right.
(умножим первое уравнение на 4):
\left \{ {{4x+4y=64000} \atop {5x-4y=17000}} \right.
= (4х+5х)+(4у-4у)=64000+17000
9х=81000
х=81000:9
х=9000 тг - получает первый мастер.

х+у=17000
у=17000-х=16000-9000=7000 тг - получает второй мастер.
ОТВЕТ: первый мастер получает 9000 тг в день; второй мастер получает 7000 тг в день.
4,7(44 оценок)
Ответ:
1111POLINA1111
1111POLINA1111
24.03.2022
Современный человек живет в сложном и загадочном мире, ставящем перед ним почти каждый день множество вопросов, на которые он ищет ответы. Эти ответы иногда приходят к нему в результате познания и труда, а иногда в результате озарения. В любом случае верно найденный ответ на вопрос вызывает чувство удовлетворения. 
Именно с вопроса начинается любое творчество: и художественное, и научное. Человеческие творения рождаются сначала в виде мысли и лишь затем воплощаются в предметы и события. Человечество ищет ответы на возникающие вопросы. Именно вопросы служат мотивом для познания мира. 
Если человек не ждет, когда ему зададут тот или иной вопрос, чтобы начать свой поиск, а сам умеет задавать себе вопросы и самостоятельно искать на них ответы, то можно сказать, что у него есть потенциал для развития творчества. И чем больше он погружается в суть предмета, тем больше появляется вопросов, так как приходит понимание огромности и непознаваемости мира.
Этот парадокс заметил древнегреческий мудрец Сократ и выразил его в лаконичной, но глубокой по смыслу фразе: «Я знаю только то, что я ничего не знаю» . 
Именно вопросы стимулируют творчество. Чем больше возникает вопросов, тем больше шансов стать творческим человеком.
4,8(66 оценок)
Это интересно:
Новые ответы от MOGZ: Математика
logo
Вход Регистрация
Что ты хочешь узнать?
Спроси Mozg
Открыть лучший ответ