М
Молодежь
К
Компьютеры-и-электроника
Д
Дом-и-сад
С
Стиль-и-уход-за-собой
П
Праздники-и-традиции
Т
Транспорт
П
Путешествия
С
Семейная-жизнь
Ф
Философия-и-религия
Б
Без категории
М
Мир-работы
Х
Хобби-и-рукоделие
И
Искусство-и-развлечения
В
Взаимоотношения
З
Здоровье
К
Кулинария-и-гостеприимство
Ф
Финансы-и-бизнес
П
Питомцы-и-животные
О
Образование
О
Образование-и-коммуникации
daaanila2015
daaanila2015
30.08.2021 08:05 •  Математика

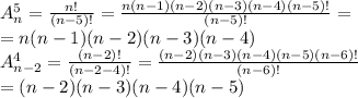
Реши уравнение

уравнение на фото

👇
Ответ:

n=25

Пошаговое объяснение:

A_{n}^{5} = \frac{n!}{(n-5)!} = \frac{n(n-1)(n-2)(n-3)(n-4)(n-5)!}{(n-5)!} =\\=n(n-1)(n-2)(n-3)(n-4)\\A_{n-2}^{4} = \frac{(n-2)!}{(n-2-4)!}=\frac{(n-2)(n-3)(n-4)(n-5)(n-6)!}{(n-6)!}\\=(n-2)(n-3)(n-4)(n-5)

теперь подставив в равенство получаем

n(n-1)(n-2)(n-3)(n-4) = 30(n-2)(n-3)(n-4)(n-5),

откуда

n(n-1)=30(n-5)

или

n^{2}-31n+150=0

откуда, по теореме Виета, n1=6 (не удовлетворяет условию, деление на 0) и n2=25

4,8(94 оценок)
Открыть все ответы
Ответ:
Roma765432112
Roma765432112
30.08.2021

Найбільшим науковим відкриттям у 2006 року названо доведення гіпотези Пуанкаре, зроблене математиком із Санкт-Петербурга Григорієм Перельманом. Принаймні саме таку оцінку дали роботі Перельмана експерти, які укладали рейтинг найвизначніших наукових подій року для найавторитетнішого у світі наукового журналу — Science. Доказ гіпотези Пуанкаре є ключем до розуміння форм Всесвіту. З 1904 року математики всього світу безуспішно ламали списи над цією «задачкою», яка стосується природи тривимірних просторів.

4,4(73 оценок)
Ответ:
Kotuknarkotik
Kotuknarkotik
30.08.2021

Я обожнюю ігри з м'ячем, а найбільше я люблю футбол. Як кажуть, футбол, футбол і ще раз футбол! Я граю в цю гру з весни до пізньої осені на спортмайдачику та шкільному стадіоні. А взимку я займаюся футболом у критому залі спортивного комплексу. Мене туди запросив наш шкільний вчитель фізичного виховання, який там теж веде заняття.

Футбол — дуже цікава гра. Вона розвиває швидкість, кмітливість, точність реакції, витривалість. Що б не казали, а футбол тренує не тільки ноги, але й тіло в цілому. Футболісти також дуже загартовані люди, бо ганяють м'яча на свіжому повітрі з ранньої весни до пізньої осені. Також футбол є командною грою і розвиває згуртованість та командний дух. А найбільше в цій грі мене вабить її неперевершений азарт!

Я стежу за європейськими та світовими чемпіонатами з футболу. І дуже радий, що останній чемпіонат Європи, Євро-2012, проводився саме в Україні та Польші. Ми з татом не пропускали жодного матча по телевізору.

Звичайно, я дуже сподівався, що збірна України вийде хоча б у чвертьфінал. Але, на жаль, цього не сталося. Проте Андрій Шевченко був і залишається моїм улюбленим футболістом, хоч вже завершує свою футбольну кар'єру. Після виходу команди України з чемпіонату я вболівав за англійців, потім переключив свою увагу на іспанців. Хоч більшість моїх друзів підтримували Італію, я виявився правий. Іспанія виграла Євро-2012!

Взагалі, моя улюбена команда — це донецький “Шахтар”, а в Європі - “Манчестер Юнайтед”. Втім, якщо в міжнародному турнірі грає “Динамо”, я завзято вболіваю за цю команду. Адже вона здобуває слави нашій країні.

На жаль, я ще не побував на наших великих стадінах, тобто на “Олімпійському” та на “Донбас-Арені”. Коли я підросту, то побуваю обов'язково. Хочу подивитися на матчі власними очима! А ще візьму з собою на стадіон фанатську дудку та український флаг та щиро вболіватиму за улюблені команди!

4,7(79 оценок)
Это интересно:
Новые ответы от MOGZ: Математика
logo
Вход Регистрация
Что ты хочешь узнать?
Спроси Mozg
Открыть лучший ответ