М
Молодежь
К
Компьютеры-и-электроника
Д
Дом-и-сад
С
Стиль-и-уход-за-собой
П
Праздники-и-традиции
Т
Транспорт
П
Путешествия
С
Семейная-жизнь
Ф
Философия-и-религия
Б
Без категории
М
Мир-работы
Х
Хобби-и-рукоделие
И
Искусство-и-развлечения
В
Взаимоотношения
З
Здоровье
К
Кулинария-и-гостеприимство
Ф
Финансы-и-бизнес
П
Питомцы-и-животные
О
Образование
О
Образование-и-коммуникации
MashaFox25
MashaFox25
27.10.2020 03:55 •  Математика

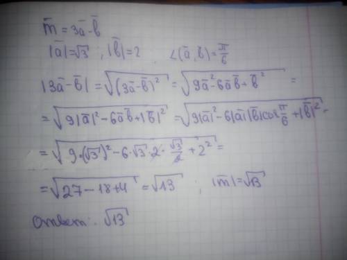
Вычислить длину вектора m, если m = 3a-b , |a|=√3, |b|=2 , угол между a и b = п/6

👇
Ответ:
lerailina30040
lerailina30040
27.10.2020

Решение задания приложено


Вычислить длину вектора m, если m = 3a-b , |a|=√3, |b|=2 , угол между a и b = п/6
4,4(72 оценок)
Открыть все ответы
Ответ:
nastyakravchen6
nastyakravchen6
27.10.2020

(х - 7) + а = 23;       х = 9 - корень уравнения

(9 - 7) + а = 23

2 + а = 23

а = 23 - 2

а = 21

Проверка: (х - 7) + 21 = 23

                   х - 7 = 23 - 21

                   х - 7 = 2

                   х = 2 + 7

                   х = 9

- - - - - - - - - - - - - - - - - - - - - - - - - - - - - - - - - - - - -

(11 + х) + 101 = а;        х = 5 - корень уравнения

(11 + 5) + 101 = а

16 + 101 = а

а = 117

Проверка: (11 + х) + 101 = 117

                   11 + х = 117 - 101

                   11 + х = 16

                   х = 16 - 11

                   х = 5

4,8(53 оценок)
Ответ:
Egorjava
Egorjava
27.10.2020
Парана́ (исп. Paraná, порт. Paraná) — река в Южной Америке, вторая по длине река этого континента (после Амазонки) .
Протекает в южной части континента по территории Бразилии, Парагвая и Аргентины.
Длина от слияния притоков — 4380 км, впадает в залив Ла-Плата Атлантического океана недалеко от города Буэнос-Айреса. До города Росарио в нижнем течении осуществляется морское судоходство. В среднем течении река образует часть естественной границы между Парагваем и Аргентиной, ниже является западной границей низменного района аргентинского Междуречья.

Длина от слияния притоков — 4380 км, общая площадь водосбора — 2663 тыс. км²; средняя глубина составляет 12 м, максимальная — 48 м.

Крупные притоки
Левые притоки: Тьете, Агуапеи, Пейши, Паранапанема, Иваи, Пикири, Игуасу, Корриентес, Гуалегуай, Уругвай
Правые притоки: Парагвай, Сан-Хавьер, Рио-Саладо

Водный режим
Питание реки главным образом дождевое. Осадки на большей части бассейна реки составляют 1000—2000 мм/год. Уровень воды неравномерный, часто случаются паводки и наводнения. В верхнем течении высокая вода приходится на весенний период, в среднем — на лето, а в нижнем течении — на осень.

Среднегодовой расход воды составляет 17,5 тыс. м³/с, может колебаться от 6 тыс. до 30 тыс. м³/с. Годовой сток в океан составляет около 480 км³, а вместе с рекой Уругвай — около 650 км³. Парана выносит в океан большое количество седиментов (90—95 млн т/год) , след от которых заметен на расстоянии 100—150 км от берега. По оценкам, за последние 2 млн лет вынесенные седименты осели на океаническом дне на площади 1 км² слоем 400 метровой толщины, ещё столько же были растворены океаном.

Хозяйственное использование
Парана — основная водная артерия, обеспечивающая водоснабжение и судоходство в регионе. До города Росарио (640 км от устья) могут подниматься морские суда (с осадкой до 7 м) ; до города Посадас можно добраться на средних судах (с осадкой в 4 м) , выше — на мелких речных судах.

Парана обладает огромным гидроэнергетическим потенциалом (БСЭ приводит оценку в 20 ГВт) . На реке построено 29 крупных дамб и планируется ещё 4. Первые очереди ГЭС Жупия (проектная мощность 1,4 ГВт) и Илья-Солтейра (проектная мощность 3,2 ГВт) были построены в 1973 году. В 1982 году была введена в строй ГЭС Итайпу (12,6 ГВт, на 2009 год вторая по величине в мире после Санься) , в результате чего водохранилище затопило бывший мощный водопад Гуайра, ниспадавший семью каскадами с высоты 33 м. Реализация ещё одного крупного гидроэнергетического проекта — ГЭС Ясирета (проектная мощность 4,05 ГВт) , которая начала работать в 1994 году, потребовала переселения более 30 тысяч человек.

Крупные города, стоящие на Паране: Посадас, Корриентес, Санта-Фе, Парана, Росарио. На берегах Ла-Платы располагаются Буэнос-Айрес (столица Аргентины) и Монтевидео (столица Уругвая) .
4,4(50 оценок)
Это интересно:
Новые ответы от MOGZ: Математика
logo
Вход Регистрация
Что ты хочешь узнать?
Спроси Mozg
Открыть лучший ответ