М
Молодежь
К
Компьютеры-и-электроника
Д
Дом-и-сад
С
Стиль-и-уход-за-собой
П
Праздники-и-традиции
Т
Транспорт
П
Путешествия
С
Семейная-жизнь
Ф
Философия-и-религия
Б
Без категории
М
Мир-работы
Х
Хобби-и-рукоделие
И
Искусство-и-развлечения
В
Взаимоотношения
З
Здоровье
К
Кулинария-и-гостеприимство
Ф
Финансы-и-бизнес
П
Питомцы-и-животные
О
Образование
О
Образование-и-коммуникации
Viktoriya3124
Viktoriya3124
22.08.2021 09:21 •  Математика

Теорема виета вычислите подробно​

👇
Ответ:
HanjiZ
HanjiZ
22.08.2021

A

Пошаговое объяснение:

корни: 1 и 7

(1/1)+(1/49)=1*(1/49)

4,6(1 оценок)
Ответ:
Русик271
Русик271
22.08.2021

Пошаговое объяснение:

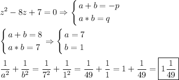
\[\begin{gathered}{z^2}-8z+7=0\Rightarrow\left\{\begin{gathered}a+b=-p\hfill\\a*b=q\hfill\\\end{gathered}\right.\hfill\\\left\{\begin{gathered}a+b=8\hfill\\a*b=7\hfill\\\end{gathered}\right.\Rightarrow\left\{\begin{gathered}a=7\hfill\\b=1\hfill\\\end{gathered}\right.\hfill\\\frac{1}{{{a^2}}}+\frac{1}{{{b^2}}}=\frac{1}{{{7^2}}}+\frac{1}{{{1^2}}}=\frac{1}{{49}}+\frac{1}{1}=1+\frac{1}{{49}}=\boxed{1\frac{1}{{49}}}\hfill\\\end{gathered}\]

ответ: A.

4,5(84 оценок)
Открыть все ответы
Ответ:
13Андрей1311
13Андрей1311
22.08.2021

1.  |−27| = 27 (модуль - всегда только положительное число)

2. а) -a = 7,3

б) -a = -85

3. правило: минус на минус дает плюс; минус на плюс дает минус.

а) -18

б) +34

4. |-10,5| = 10,5 (правило выше)

|143| = 143

5. а) 316 >  -316

б) -5,32 > - 5,2 (смотрим по первой цифре после запятой)

6. а) 5,7 + ( - 6) = 5,7 - 6 = -0,3

б) – 10 – 6 ∙ (-1,5) = -10 + 9 = -1

7. а) - 3,2 : 0,8 = -4

б) - 45 ∙ ( - 516 ) = 23220

в) (- 9) : ( - 13 ) = 9/13 (типа это дробь)

г) (-1) ∙ (-0,01) = 0,01

8. а) (−13)2 = -26

б) – 10 – 6 ∙ (-1,5) = -10 + 9 = -1

в) −4,5−7−3 = -4,5-10 = -14,5

9. −0,8+2,26−8,1 = 1,46-8,1 = -6.64

10. Координаты: A₁(-1;2), B₁(-5;4), C₁(-4;1)

(см. файл.)


1. Найдите значение модуля: |−27|: 2. Для каждого числа а запишите противоположное ему число – а. а)
4,5(68 оценок)
Ответ:
nazyrovailnara
nazyrovailnara
22.08.2021
Обыкновенные дроби переводить в обыкновенные легко
Ну например мы возьмем дробь 35/280
Сокрощяем её на число которое лучше всего сократить в моем случае на 7
И у нас получается 5/40
Дальше (если можно сократить) сокрощяем до конца чтобы дробь была несокротима
и полный ответ получается 1/8
И после этого переводим дробь в десятичную
1/8 =0.125
Как это получилось?
Делем 1000 на 8 и получается 125
и потом в итоге получается 0.125
Ну что хочу поправить это не прибавлять, а слаживать дроби
Складываем дроби
вот первых надо привести к общему знаменателю, например: 1/2+3/4
показано на фото сверху
И опять поправка не (отнимаем) а вычитаем дроби):
Точно так же как и слажение, но только числители вычитаем в данном случае 2/4-3/4=-1/4
Как переводить обыкновенные дроби в десятичные как делить,умножать ,прибавлять ,отнимать десятичные
4,7(72 оценок)
Это интересно:
Новые ответы от MOGZ: Математика
logo
Вход Регистрация
Что ты хочешь узнать?
Спроси Mozg
Открыть лучший ответ