
R означает, что х - любое число (так как любое число при умножении на 0 даст 0).


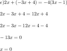
e)2x+( -3x+4)=-4(3x-1)
2x-3x+4 = -12x+4
-x+4= -12x+4
-x+12x=4-4
11x =0
x=0
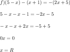
f)(5-x)-(x+1)-9= -(2x+5)
5-x-x-1 -9 = -2x -5
-5-2x =-2x-5
-2x+2x= -5+5
0 =0
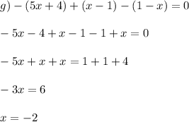
g)-(5x+4)+(x-1)-(1-x)=0
-5x-4+x-1- 1 +x=0
-3x -6 =0
-3x=6
x=-2
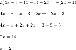
h)4x-8-(x+3)+2x= -(2x-3)
4x-8 -x -3 +2x=-2x+3
5x -11 = -2x+3
5x+2x=3+11
7x =14
x=14÷7
x=2
баскетбол - одна из самых популярных игр в нашей стране. для нее характерны разнообразные движения; ходьба, бег, остановки, повороты, прыжки, ловля, броски и ведение мяча, осуществляемые в единоборстве с соперниками. такие разнообразные движения способствуют улучшению обмена веществ, деятельности всех систем организма, формируют координацию.
баскетбол имеет не только оздоровительно-гигиеническое значение, но и агитационно-воспитательное. занятия баскетболом формировать настойчивость, смелость, решительность, честность, уверенность в себе, чувство коллективизма. но эффективность воспитания зависит, прежде всего, от того, насколько целеустремленно в педагогическом процессе осуществляется взаимосвязь и нравственного воспитания.
баскетбол, как средство воспитания, нашел широкое применение в различных звеньях физкультурного движения.
в настоящее время баскетбол – один из самых популярных видов спорта. число официально зарегистрированных игроков во всем мире превышает 200 миллионов человек.
баскетбол – не просто спорт, это культура с глубокими корнями и традициями. эта игра только для команды, так как один ты ни чего не сделаешь. нужна и командный дух. баскетбол входит в программу олимпийских игр с 1936 года ( изобретатель игры джеймс нейсмит присутствовал в качестве гостя).как известно, в любой культуре люди прыгают от радости в момент наивысшего счастья. прыгание является международно признанным выражением радости, и баскетбол это тот вид спорта, который построен на возможно, игрок прыгает, потому что он счастлив, но, что более вероятно, он счастлив, потому что прыгает. мне приходилось слышать, как игроки жалуются по поводу практически любой детали игры — правил, размера или цвета мяча, формы или температуры в раздевалке, — но я никогда не слышал, чтобы кто-то жаловался на то, что им приходится прыгать.
япония в начале xx века представляла собой конституционную монархию. главой страны был император муцухито, или мэйдзи. но абсолютной власти он не имел, его власть ограничивалась конституцией государства. япония в то время уже́ являлась достаточно высокоразвитой страной реформам правителя и общей модернизации государства.
китай на начало xx века также представлял собой монархию, в стране правила иностранная маньчжурская династия цин. страной император гуансюй, однако на самом деле, на практике реальной правительницей была властная императрица цы си. при этом китай сильно зависел от западных держав, его была весьма слабой. такие страны называли полуколониями: де-юре независимы, имеется собственная власть, фактически же и зависят от более сильных государств.