Каким бы очевидным ни казался ответ на вопрос, вынесенный в заголовок этой страницы, не спешите его давать. Подумайте над ситуациями, в которых вы чувствовали себя обиженными или наблюдали, как обижают других. Наверное, каждый из вас был свидетелем недоразумений между одноклассниками. Материал с сайта http://iEssay.ru
Согласитесь, что справедливо относиться к другим довольно сложно: ведь с позиций морали мы первыми должны простить человека, даже если несправедливость к нам с его стороны очевидна. Давайте не причинять другим того, чего не желали бы себе, будем добрыми и милосердными к другим, будем любить их — и только в таком случае мы сможем стать справедливыми. Конечно, достичь этого в отношениях с окружающими непросто. Ведь мы, как правило, сначала хотим, чтобы справедливыми были к нам, а уже потом мы готовы отвечать справедливостью на справедливость. Но с позиций морали добро (любовь, милосердие, справедливость) должно исходить от самого человека. Именно этому учит золотое правило морали. «Выходит, достичь справедливости в отношениях между людьми почти невозможно?» — разочарованно спросит кто-нибудь из вас. Не отчаивайтесь! На самом деле чувство справедливости, которое проявляется прежде всего в сопротивлении любой несправедливости, присуще каждому человеку. Поискам правды и справедливости посвящено огромное количество произведений фольклора и художественной литературы. Вспомните сказки, в которых обидчик-злодей обязательно наказывается. Нравственный опыт человечества учит, что для того чтобы быть справедливым, нужно: во-первых, быть честным, правдивым; во-вторых, не думать только о собственной выгоде, корысти; в-третьих, быть искренним; в-четвёртых, быть великодушным. Современные философы утверждают, что справедливость и великодушие — это две стороны одной медали, поэтому одна ценность не может существовать без другой.
При a ∈ (-1/8; 0) U(0; + ∞) квадратное уравнение имеет два различных корня.
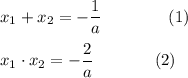
По теореме Виета
По условию,
сложив это равенство с (1), получим
Откуда получаем
ответ: -1/9; 1.