М
Молодежь
К
Компьютеры-и-электроника
Д
Дом-и-сад
С
Стиль-и-уход-за-собой
П
Праздники-и-традиции
Т
Транспорт
П
Путешествия
С
Семейная-жизнь
Ф
Философия-и-религия
Б
Без категории
М
Мир-работы
Х
Хобби-и-рукоделие
И
Искусство-и-развлечения
В
Взаимоотношения
З
Здоровье
К
Кулинария-и-гостеприимство
Ф
Финансы-и-бизнес
П
Питомцы-и-животные
О
Образование
О
Образование-и-коммуникации
svitaliy360
svitaliy360
26.04.2023 02:23 •  Математика

3^{2x}+3^{x}-12≤0

👇
Ответ:
snoxj2003
snoxj2003
26.04.2023

ответ: x∈(-∞;1].

Пошаговое объяснение:

3²ˣ+3ˣ-12≤0

Пусть 3ˣ=t>0   ⇒

t²+t-12≤0

t²+t-12=0   D=49      √D=7

t₁=3      t₂=-4

(t-3)*(t+4)≤0

-∞__+__-4__-__3__+__+∞

t∈[-4;3]

Так как t>0   ⇒

t∈(0;3]

3ˣ∈(0;3]   ⇒

x∈(-∞;1].

4,5(74 оценок)
Ответ:
ShkolnikN15
ShkolnikN15
26.04.2023

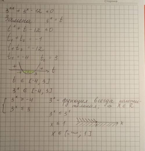
ответ: х ∈ (-∞; 1)

(фото)


<img src=+3^{x}-12≤0" />
4,8(7 оценок)
Открыть все ответы
Ответ:
VLADBERYYYYYYY
VLADBERYYYYYYY
26.04.2023
сумма 25;
1-е ?, но на 7>2-го↓
2 - ?
Решение.
25 -7 = 18 была бы сумма чисел, если бы оба были равны меньшему;
18 : 2 = 9 второе число;
9 + 7 = 16 первое число.
ответ: 16 и 9
Проверка: 16 + 9 = 25

Если это задача для первого класса и надо выбрать подбором одну из предложенных пар чисел, то проверяем каждую пару:
1) 18 + 7 = 25, НО 18 - 7 = 11, разность не соответствует условию, числа не годятся.
2) 9 + 16 = 25; 16 - 9 = 7;   подходит по условию;
3) 12 + 13 = 25, НО 13 - 12 = 1, разность не соответствует условию;
ответ: 9 и 16
4,6(35 оценок)
Ответ:
Вика00000011
Вика00000011
26.04.2023
сумма 25;
1-е ?, но на 7>2-го↓
2 - ?
Решение.
25 -7 = 18 была бы сумма чисел, если бы оба были равны меньшему;
18 : 2 = 9 второе число;
9 + 7 = 16 первое число.
ответ: 16 и 9
Проверка: 16 + 9 = 25

Если это задача для первого класса и надо выбрать подбором одну из предложенных пар чисел, то проверяем каждую пару:
1) 18 + 7 = 25, НО 18 - 7 = 11, разность не соответствует условию, числа не годятся.
2) 9 + 16 = 25; 16 - 9 = 7;   подходит по условию;
3) 12 + 13 = 25, НО 13 - 12 = 1, разность не соответствует условию;
ответ: 9 и 16
4,4(94 оценок)
Это интересно:
Новые ответы от MOGZ: Математика
logo
Вход Регистрация
Что ты хочешь узнать?
Спроси Mozg
Открыть лучший ответ