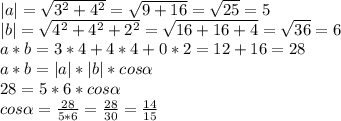
Находим длины векторов, после находим скалярное произведение двух вектор a и b. Полученные значения подставляем в формулу произведения модулей этих векторов и на косинус угла между ними.
Максимально соответствуют критериям безопасности натуральные материалы, которые уже долгое время используются человеком. это камень и дерево. в связи с этим часто используют материалы, созданные на основе природных ресурсов - стекло, бетон и подобные. эта продукция является безопасной для человеческого здоровья. также существует ряд материалов, которые выделяют токсичные вещества при использовании. это, например, изделия с применением полимеров и добавок для стабилизации их свойств: пластичности, прочности и других. на первом месте в списке опасных материалов находятся дешёвые краски, лаки, мастики, в состав которых входит свинец, медь и ряд наркотических веществ - ксилол, крезол, толуол. ставшие популярными материалы на пвх основе - виниловые обои, линолеум, декоративная пленка - являются источником повышенной концентрации в воздухе тяжелых металлов, которые имеют свойство накапливаться в организме и провоцируют развитие опухолей. подробно в источнике источник:
Максимально соответствуют критериям безопасности натуральные материалы, которые уже долгое время используются человеком. это камень и дерево. в связи с этим часто используют материалы, созданные на основе природных ресурсов - стекло, бетон и подобные. эта продукция является безопасной для человеческого здоровья. также существует ряд материалов, которые выделяют токсичные вещества при использовании. это, например, изделия с применением полимеров и добавок для стабилизации их свойств: пластичности, прочности и других. на первом месте в списке опасных материалов находятся дешёвые краски, лаки, мастики, в состав которых входит свинец, медь и ряд наркотических веществ - ксилол, крезол, толуол. ставшие популярными материалы на пвх основе - виниловые обои, линолеум, декоративная пленка - являются источником повышенной концентрации в воздухе тяжелых металлов, которые имеют свойство накапливаться в организме и провоцируют развитие опухолей. подробно в источнике источник:
Находим длины векторов, после находим скалярное произведение двух вектор a и b. Полученные значения подставляем в формулу произведения модулей этих векторов и на косинус угла между ними.
ответ: