М
Молодежь
К
Компьютеры-и-электроника
Д
Дом-и-сад
С
Стиль-и-уход-за-собой
П
Праздники-и-традиции
Т
Транспорт
П
Путешествия
С
Семейная-жизнь
Ф
Философия-и-религия
Б
Без категории
М
Мир-работы
Х
Хобби-и-рукоделие
И
Искусство-и-развлечения
В
Взаимоотношения
З
Здоровье
К
Кулинария-и-гостеприимство
Ф
Финансы-и-бизнес
П
Питомцы-и-животные
О
Образование
О
Образование-и-коммуникации
10089675834075
10089675834075
29.11.2022 09:33 •  Математика

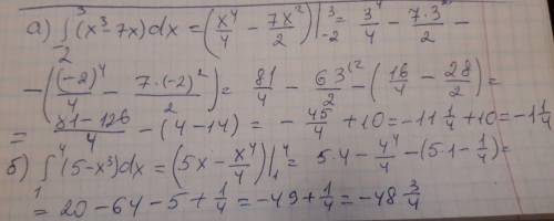
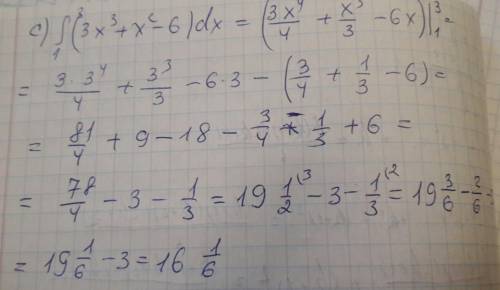
Решите подробно (объяснять шаги не надо) ​

👇
Ответ:
kreatuv41kp06t42
kreatuv41kp06t42
29.11.2022

Відповідь:

Покрокове пояснення:


Решите подробно (объяснять шаги не надо) ​
Решите подробно (объяснять шаги не надо) ​
4,6(70 оценок)
Открыть все ответы
Ответ:
BlaBla1aquamarine
BlaBla1aquamarine
29.11.2022
1) Какие жизненные позиции можно считать нравственными?Если на рядовом уровне, то выполняя дело, нужно не обидеть окружающих, ближних. Если говорить ппро общественные вопросы, то нужно сделать работу так, чтобы ущемить интересы как можно меньшего количества людей и обеспечить наиболее конструктивную работу в обществе.
2) Какие направления по самовоспитанию и самообучению можно признать более эффективными для формирования антитеррористического поведения?Что за направления направления могут быть вообще? Если в целом, то это общее осведомление в военных вопросах, а также физическая подготовка. То есть выработка умения справляться с паникой, организовать эвакуацию, переживать лишения. Нужно понимать цели и задачи террористов и примерно представлять как работает спецназ при совершении или угрозе террактов. 
4,5(89 оценок)
Ответ:
Volodyaaaa
Volodyaaaa
29.11.2022

Решение .

Предположим, что шестиугольник только один. Тогда количество вершин у пятиугольников равно 28 - 6 = 22. Этого не может быть, потому что число 22 на 5 не делится.

Если шестиугольник два, то количество вершин у пятиугольников равно 28 - 12 = 16, чего не может быть.

Если шестиугольник три, то количество вершин у пятиугольников равно 28 - 18 = 10. Значит, пятиугольников может быть два.

Если шестиугольников четыре, то количество вершин у пятиугольников равно 28 - 24 = 4, чего не может быть.

Больше четырех шестиугольников быть не может.

4,6(50 оценок)
Новые ответы от MOGZ: Математика
logo
Вход Регистрация
Что ты хочешь узнать?
Спроси Mozg
Открыть лучший ответ