М
Молодежь
К
Компьютеры-и-электроника
Д
Дом-и-сад
С
Стиль-и-уход-за-собой
П
Праздники-и-традиции
Т
Транспорт
П
Путешествия
С
Семейная-жизнь
Ф
Философия-и-религия
Б
Без категории
М
Мир-работы
Х
Хобби-и-рукоделие
И
Искусство-и-развлечения
В
Взаимоотношения
З
Здоровье
К
Кулинария-и-гостеприимство
Ф
Финансы-и-бизнес
П
Питомцы-и-животные
О
Образование
О
Образование-и-коммуникации
12389p
12389p
03.10.2020 05:23 •  Математика

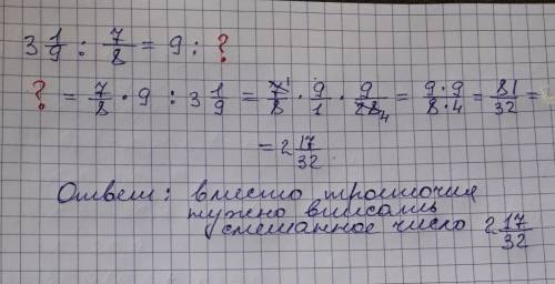
С. 3 1/9 : 7/8 = 9/ ⋅ / =

запишите число обратное числу 5 9/ 13.

и найдите найдите значение дробного выражения

👇
Ответ:
8989645268fortpoli
8989645268fortpoli
03.10.2020

Нахождение неизвестного члена пропорции.


С. 3 1/9 : 7/8 = 9/ ⋅ / = запишите число обратное числу 5 9/ 13.и найдите найдите значение дробного
С. 3 1/9 : 7/8 = 9/ ⋅ / = запишите число обратное числу 5 9/ 13.и найдите найдите значение дробного
4,5(17 оценок)
Открыть все ответы
Ответ:
mskamilee
mskamilee
03.10.2020

Уравнение 1.

Уравнение 1.(lg x)² - lg x - 6 = 0

ОДЗ : х > 0.

Пусть lg x = t, тогда по условию

t² - t - 6 = 0

D = 1 + 24 = 25

t1 = (1+5)/2 = 3

t2 = (1-5)/2 = - 2

Получили, что

1) lg x = 3, x = 10³ = 1000

или

2) lg x = - 2, x = 10^(-2) = 0,01.

ответ: 0,01; 1000.

Уравнение 2.

Уравнение 2.(log_2 x)² - 4•(log_2 x) + 3 = 0

ОДЗ : х > 0.

Пусть lg x = t, тогда по условию

t² - 4t + 3 = 0

D = 16 - 12 = 4

t1 = (4+2)/2 = 3;

t2 = (4-2)/2 = 1.

Получили, что

1) log_ 2 x = 3, x = 2³ = 8

или

2) log_2 x = 1, x = 2¹ = 2.

ответ: 2; 8.

4,8(6 оценок)
Ответ:
mango34
mango34
03.10.2020
Длина всей трубы равна = 0,8 + 2,4 =3,2 м . Первый кусок составляет 1/4 часть всей трубы (0,8 / 3,2) , а второй кусок 3/4 от всей трубы (2,4/3,2) . Первый кусок от длины второго куска составляет 1/3 часть  (0,8 /2,4) 
2) а) 0,2 к 0,5 - показывает отношение содержания сахара в 1 коробке к 2
   б) 0,7 к 0,3 - показывает отношение содержания сахара в 1 и 2 коробках к 3
   в) 0,2 к 0,8 - показывает отношение содержания сахара в 1 коробке к 2 + 3
   г) 0,2 к 1 - показывает отношение содержание сахара в 1 коробке ко всему сахару
   д) 0,7 к 1 - показывает отношение содержания сахара в 1 и 2 коробках ко всему сахару   
4,5(60 оценок)
Новые ответы от MOGZ: Математика
logo
Вход Регистрация
Что ты хочешь узнать?
Спроси Mozg
Открыть лучший ответ