
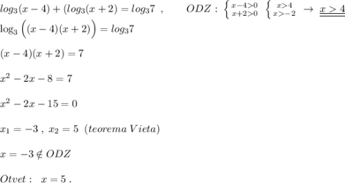
1) (х - 5)/20 = 6/7 2) 2/7 = 3/4х
7 * (х - 5) = 20 * 6 х = 2/7 : 3/4
7х - 35 = 120 х = 2/7 * 4/3
7х = 120 + 35 х = 8/21
х = 155 : 7 Проверка:
х = 155/7 2/7 = 3/4 * 8/21
х = 22 1/7 2/7 = 2/7
Проверка:
(22 1/7 - 5) : 20 = 6/7
120/7 * 1/20 = 6/7
3) 11/17 = 22 : 68х
11 * 68х = 22 * 17
748х = 374
х = 374 : 748
х = 0,5
Проверка:
11/17 = 22 : (68 * 0,5)
11/17 = 22/34
1) (х - 5)/20 = 6/7 2) 2/7 = 3/4х
7 * (х - 5) = 20 * 6 х = 2/7 : 3/4
7х - 35 = 120 х = 2/7 * 4/3
7х = 120 + 35 х = 8/21
х = 155 : 7 Проверка:
х = 155/7 2/7 = 3/4 * 8/21
х = 22 1/7 2/7 = 2/7
Проверка:
(22 1/7 - 5) : 20 = 6/7
120/7 * 1/20 = 6/7
3) 11/17 = 22 : 68х
11 * 68х = 22 * 17
748х = 374
х = 374 : 748
х = 0,5
Проверка:
11/17 = 22 : (68 * 0,5)
11/17 = 22/34