М
Молодежь
К
Компьютеры-и-электроника
Д
Дом-и-сад
С
Стиль-и-уход-за-собой
П
Праздники-и-традиции
Т
Транспорт
П
Путешествия
С
Семейная-жизнь
Ф
Философия-и-религия
Б
Без категории
М
Мир-работы
Х
Хобби-и-рукоделие
И
Искусство-и-развлечения
В
Взаимоотношения
З
Здоровье
К
Кулинария-и-гостеприимство
Ф
Финансы-и-бизнес
П
Питомцы-и-животные
О
Образование
О
Образование-и-коммуникации
mishac1470
mishac1470
29.12.2022 14:17 •  Математика

Найдите значение выражения
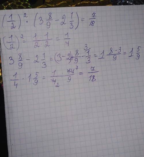
(1/2)2*(3 8/9 - 2 1/3 =

👇
Ответ:
Lizzka1301
Lizzka1301
29.12.2022

(1/2)² · (3 8/9 - 2 1/3) = 7/18

1) (1/2)² = 1/2 · 1/2 = 1/4

2) 3 8/9 - 2 1/3 = 3 8/9 - 2 3/9 = 1 5/9 = 14/9

3) 1/4 · 14/9 = (1·7)/(2·9) = 7/18

ответ: 7/18.

4,6(96 оценок)
Ответ:
KriSha11
KriSha11
29.12.2022

Пошаговое объяснение:

(1/2)^2=1/4

3 8/9-2 1/3=1 5/9

1/4*1 5/9=1/4*14/9=7/18


Найдите значение выражения (1/2)2*(3 8/9 - 2 1/3 =
4,5(64 оценок)
Открыть все ответы
Ответ:
olya0091184
olya0091184
29.12.2022

ответ: 1/2; 50%; 328.


a)

Пошаговое объяснение:

124 - целое число, по условию задачи.

124 : 4 * 3 = 93 - это 3/4 части от числа 124, из условия задачи.

124 : 100 * 25 = 31 - это 25% от числа 124, из условия задачи.

Следовательно:

93 - 31 = 62 - это разность 3/4 частей и 25% от числа 124, из условия задачи.

Тогда:

Воспользуемся пропорцией:

124 - 1

62 - х

х = 62 * 1 : 124 = 62/124 = 62/2*62 = 1/2 (часть) - от числа 124 составляет разность, по расчету равная 62.

124 - 100%

62 - х%

х = 62 * 100 : 124 = 50% - от числа 124 составляет разность, по расчету равная 62.

ответ: 1/2; 50%.


б) 123 - 25% от первого числа, по условию задачи.

Следовательно, воспользуемся пропорцией и найдем первое число:

123 - 25%

  х - 100%

х = 123 * 100 : 25 = 492 - первое число, из условия задачи.

123 - это 3/4 от второго числа, по условию задачи.

Следовательно, найдем второе число:

123 : 3 * 4 = 164 - это второе число из условия задачи.

Тогда:

492 - 164 = 328 - это разность между первым и вторым числом, из условия задачи.

ответ: 328.  

4,5(60 оценок)
Ответ:

ответ: 1/2; 50%; 328.


a)

Пошаговое объяснение:

124 - целое число, по условию задачи.

124 : 4 * 3 = 93 - это 3/4 части от числа 124, из условия задачи.

124 : 100 * 25 = 31 - это 25% от числа 124, из условия задачи.

Следовательно:

93 - 31 = 62 - это разность 3/4 частей и 25% от числа 124, из условия задачи.

Тогда:

Воспользуемся пропорцией:

124 - 1

62 - х

х = 62 * 1 : 124 = 62/124 = 62/2*62 = 1/2 (часть) - от числа 124 составляет разность, по расчету равная 62.

124 - 100%

62 - х%

х = 62 * 100 : 124 = 50% - от числа 124 составляет разность, по расчету равная 62.

ответ: 1/2; 50%.


б) 123 - 25% от первого числа, по условию задачи.

Следовательно, воспользуемся пропорцией и найдем первое число:

123 - 25%

  х - 100%

х = 123 * 100 : 25 = 492 - первое число, из условия задачи.

123 - это 3/4 от второго числа, по условию задачи.

Следовательно, найдем второе число:

123 : 3 * 4 = 164 - это второе число из условия задачи.

Тогда:

492 - 164 = 328 - это разность между первым и вторым числом, из условия задачи.

ответ: 328.  

4,4(4 оценок)
Это интересно:
Новые ответы от MOGZ: Математика
logo
Вход Регистрация
Что ты хочешь узнать?
Спроси Mozg
Открыть лучший ответ