М
Молодежь
К
Компьютеры-и-электроника
Д
Дом-и-сад
С
Стиль-и-уход-за-собой
П
Праздники-и-традиции
Т
Транспорт
П
Путешествия
С
Семейная-жизнь
Ф
Философия-и-религия
Б
Без категории
М
Мир-работы
Х
Хобби-и-рукоделие
И
Искусство-и-развлечения
В
Взаимоотношения
З
Здоровье
К
Кулинария-и-гостеприимство
Ф
Финансы-и-бизнес
П
Питомцы-и-животные
О
Образование
О
Образование-и-коммуникации
1235124
1235124
09.10.2020 15:30 •  Математика

Петя и дима могут пропахать землю за 2,4 год
петя может сделать это один за 4 год
за сколько тогда дима сможет сделать это один?

👇
Ответ:
voenngti
voenngti
09.10.2020

6

Пошаговое объяснение:

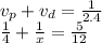
скорость с которой может промазать землю Петя

v_{p} = \frac{1}{4}

скорость с которой может пропахать землю Дима

v_{d} = \frac{1}{x}

где x время за которое Дима может пропахать землю сам

общая скорость равна

v_{p} + v_{d} = \frac{1}{2.4} \\ \frac{1}{4} + \frac{1}{x} = \frac{5}{12}

\frac{1}{x} = \frac{5}{12} - \frac{1}{4} = \frac{2}{12} = \frac{1}{6} \\ x = 6

4,7(99 оценок)
Открыть все ответы
Ответ:
Yasmin1708
Yasmin1708
09.10.2020
Сказка повествует о двух разных характерах.Царицы и царевны.

Царица-Высокая,стройная,белая и умная.Но зато гордая,ломливая,

своенравная и ревнивая.Так было написано,в самой сказке.Поэт соединяя эти черты характера построил такого персонажа-гордого,вредного,с ужасным самолюбием, но зато красивого.Она считала что лучше и прекраснее всех в мире и все должны были признать ее первой.

Царевна- Она была красивой.Милая,красивая,румяная,белая,чудесная,чернобровая.Характер у нее был таков:трудолюбива,скромна,кротка,беззащитна,добра.Царевна же не такая как ее мачеха.Она не придает значению красоте, наоборот же она была скромной и доброй.

4,7(55 оценок)
Ответ:

Будем применять неравенство треугольника для исключения невозможных случаев. Если длина диагонали равна 7, 5, то оставшиеся четыре числа можно разбить на две пары так, что сумма чисел в каждой из них больше 7, 5. Но этого, очевидно, сделать нельзя. Аналогично, не подходит 5. Если длина диагонали равна 1, то оставшиеся четыре числа можно разбить на две пары так, что разность чисел в каждой из них меньше 1, но этого, очевидно, сделать нельзя. Аналогично, не подходит 2.

Остаётся единственный вариант — 2, 8. Четырёхугольник по условию существует. Поэтому, доказывать, что 2, 8 на самом деле подходит, не обязательно (хотя и полезно, чтобы проверить своё решение или даже найти ошибку в условии!)

4,4(21 оценок)
Это интересно:
Новые ответы от MOGZ: Математика
logo
Вход Регистрация
Что ты хочешь узнать?
Спроси Mozg
Открыть лучший ответ