Пошаговое объяснение:
1.
5 – 4х = 7 – 5х
5x - 4x = 7 - 5
x = 2
2.
6(2х – 3) + 4 = 10
12x - 18 + 4 = 10
12x - 14 = 10
12x = 10 + 14
12x = 24
x = 24 : 12
x = 2
3.
7х – 4 = 4(2х – 7) + 2х
7x - 4 = 8x - 28 + 2x
7x - 4 = 10x - 28
10x - 7x = 28 - 4
3x = 24
x = 24 : 3
x = 8
4.
2 – 5(4х – 7) = 3(6х + 5)
2 - 20x + 35 = 18x + 15
37 - 20x = 18x + 15
18x + 20x = 37 - 15
38x = 22
x = 22 : 38
x = 11/19
5.
3х – 6(5х + 2) = 4 – 5(3х + 4)
3x - 30x - 12 = 4 - 15x - 20
-27x - 12 = -16 - 15x
27x - 15x = 16 - 12
12x = 4
x = 4 : 12
x = 1/3
6.
–11(x – 2) + 2(3 – 2x) + 15x = 0
-11x + 22 + 6 - 4x + 15x = 0
28 ≠ 0
нет решений
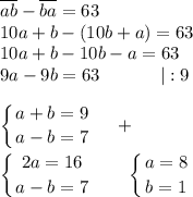
Пусть двузначное число
81 - 18 = 63
ответ : 81