М
Молодежь
К
Компьютеры-и-электроника
Д
Дом-и-сад
С
Стиль-и-уход-за-собой
П
Праздники-и-традиции
Т
Транспорт
П
Путешествия
С
Семейная-жизнь
Ф
Философия-и-религия
Б
Без категории
М
Мир-работы
Х
Хобби-и-рукоделие
И
Искусство-и-развлечения
В
Взаимоотношения
З
Здоровье
К
Кулинария-и-гостеприимство
Ф
Финансы-и-бизнес
П
Питомцы-и-животные
О
Образование
О
Образование-и-коммуникации
knopiknopa
knopiknopa
14.11.2022 08:37 •  Математика

Для функции f(z) выделите действительную и мнимую части, проверьте выполнение условий коши-римана, найдите f ́(z), если f ́(z) существует.

👇
Ответ:
мам2017
мам2017
14.11.2022

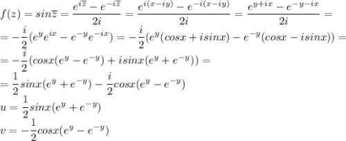
\displaystyle f(z)=sin\overline z=\frac{e^{i\overline z}-e^{-i\overline z}}{2i}=\frac{e^{i(x-iy)}-e^{-i(x-iy)}}{2i}=\frac{e^{y+ix}-e^{-y-ix}}{2i}=\\=-\frac{i}{2}(e^ye^{ix}-e^{-y}e^{-ix})=-\frac{i}{2}(e^y(cosx+isinx)-e^{-y}(cosx-isinx))=\\=-\frac{i}{2}(cosx(e^y-e^{-y})+isinx(e^y+e^{-y}))=\\=\frac{1}{2}sinx(e^y+e^{-y})-\frac{i}{2}cosx(e^y-e^{-y})\\u=\frac{1}{2}sinx(e^y+e^{-y})\\v=-\frac{1}{2}cosx(e^y-e^{-y})

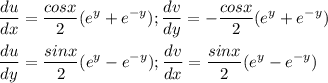
\displaystyle\frac{du}{dx}=\frac{cosx}{2}(e^y+e^{-y});\frac{dv}{dy}=-\frac{cosx}{2}(e^y+e^{-y})\\\\\frac{du}{dy}=\frac{sinx}{2}(e^{y}-e^{-y});\frac{dv}{dx}=\frac{sinx}{2}(e^{y}-e^{-y})

Условие Коши-Римана не выполняется.

4,6(58 оценок)
Открыть все ответы
Ответ:

Оз — кантон во Франции, департамент Жер.

Оз — коммуна во Франции, департамент Верхние Альпы.

Оз — коммуна во Франции, департамент Жер.

Оз — коммуна во Франции, департамент Изер.

Оз — форма рельефа, узкий вал естественного происхождения

Страна Оз — волшебная страна в книге «Удивительный волшебник из страны Оз» американского писателя Лаймена Баума.

Оз: Великий и Ужасный (англ. Oz: The Great and Powerful) — фэнтези-фильм, США, 2013 год. Режиссёр — Сэм Рэйми.

Тюрьма Оз (англ. Oz) — американский телесериал телеканала HBO, 1997—2003 годы.

ОЗ — отряд заграждения

ОЗ — альтернативное название романа братьев Стругацких «Отягощённые злом, или Сорок лет спустя».

4,4(14 оценок)
Ответ:
Тэхен10
Тэхен10
14.11.2022

Периметр квадрата с площадью 6400 мм² и стороной 80 мм равен 320 мм

Пошаговое объяснение:

Если сторона квадрата равна 80 мм, то периметр равен сумме длин четырех сторон

80+80+80+80 = 320 мм

(или 80мм  х 4 стороны = 320 мм)

площадь квадрата 6400 мм , а длина сторона 80 мм. найти переметр этого квадрата , это всё​

А в площади надо указывать 6400 мм²

Странная задача. Много избыточных данных.

Если известно, что фигура квадрат и дана ее площадь, то можно найти длину стороны квадрата.

Если дана длина стороны квадрата, то зачем тут площадь?!

4,4(64 оценок)
Это интересно:
Новые ответы от MOGZ: Математика
logo
Вход Регистрация
Что ты хочешь узнать?
Спроси Mozg
Открыть лучший ответ