М
Молодежь
К
Компьютеры-и-электроника
Д
Дом-и-сад
С
Стиль-и-уход-за-собой
П
Праздники-и-традиции
Т
Транспорт
П
Путешествия
С
Семейная-жизнь
Ф
Философия-и-религия
Б
Без категории
М
Мир-работы
Х
Хобби-и-рукоделие
И
Искусство-и-развлечения
В
Взаимоотношения
З
Здоровье
К
Кулинария-и-гостеприимство
Ф
Финансы-и-бизнес
П
Питомцы-и-животные
О
Образование
О
Образование-и-коммуникации
ERAZOR
ERAZOR
19.03.2021 08:06 •  Математика

Найдите частные решения дифференциального уравнения, удовлетворяющих заданным начальным условиям:

y' sin x - y cos x = 1 при x=\frac{\pi }{2}, y=0

👇
Ответ:
BMOPLAY23
BMOPLAY23
19.03.2021

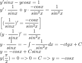
y' sin x - y cos x = 1\\ y'\cdot \dfrac{1}{sinx}+y\cdot \dfrac{-cosx}{sin^2x}=\dfrac{1}{sin^2x}\\ \\\left[(\dfrac{1}{sinx})'=\dfrac{-cosx}{sin^2x}\right]\\ (y\cdot \dfrac{1}{sinx})'=\dfrac{1}{sin^2x}\\ y\cdot \dfrac{1}{sinx}=- \int -\dfrac{1}{sin^2x}dx=-ctgx+C\\ y=-cosx+Csinx\\ y(\dfrac{\pi}{2})=0=0=C=y=-cosx

4,8(98 оценок)
Открыть все ответы
Ответ:
FlUSHWER
FlUSHWER
19.03.2021
Для того чтобы перевести число необходимо разделить с остатком числитель на знаменатель т. е. узнать сколько "целых" раз содержится. И это неполное частное и будет целой частью. Затем остаток (если он есть) дает числитель, а делитель - знаменатель дробной части (чтобы было понятнее нужно знаменатель умножить на целое число, которое ты получила ранее, а затем из ЧИСЛИТЕЛЯ вычесть то что ты сейчас получила) 
Например: 136/28=4 целых 24/28, это сократимая дробь = 4 целых 6/7 
Я 136 разделила на 28 и получила 4. Затем чтобы узнать числитель, умножила 28 на 4 получилось 112, и из 136 вычла 112. Для сокращения нужно и числитель и знаменатель разделить на одно и тоже число (в данном случае это 4) 
4,4(22 оценок)
Ответ:
shinkevivh2001
shinkevivh2001
19.03.2021

Пошаговое объяснение:

1) сумма чисел -6,78 и -9,24 будет отрицательное число, поскольку при сложении число (-9,24) не меняет знак, а разница чисел -6,78 и -9,24 - будет положительное число , поскольку число (-9,24) при вычитании поменяет свой знак на противоположный , т.е. "+".Положительное число всегда больше, чем отрицательное .

-6,78+(-9,24)=6,78-9,24 =-16,02

-6,78-(-9,24)=-6,78+9,24=2,46

-16,02 < 2,46, значит

-6,78-9,24 <-6,78-(-9,24)

2) сумма чисел -25 и 43 будет больше , чем сумма чисел -95 и 88, потому что положительное слагаемое  в первом выражении, больше чем отрицательное,значит и сумма положительного и отрицательного числа будет положительная . Во втором выражении положительное слагаемое меньше отрицательного , а значит сумма будет - число отрицательное

-25+43=18

-95+88= -7

18 > -7, значит

-25+43 > -95+88

4,4(3 оценок)
Это интересно:
Новые ответы от MOGZ: Математика
logo
Вход Регистрация
Что ты хочешь узнать?
Спроси Mozg
Открыть лучший ответ