М
Молодежь
К
Компьютеры-и-электроника
Д
Дом-и-сад
С
Стиль-и-уход-за-собой
П
Праздники-и-традиции
Т
Транспорт
П
Путешествия
С
Семейная-жизнь
Ф
Философия-и-религия
Б
Без категории
М
Мир-работы
Х
Хобби-и-рукоделие
И
Искусство-и-развлечения
В
Взаимоотношения
З
Здоровье
К
Кулинария-и-гостеприимство
Ф
Финансы-и-бизнес
П
Питомцы-и-животные
О
Образование
О
Образование-и-коммуникации
aantip
aantip
23.12.2022 15:03 •  Математика

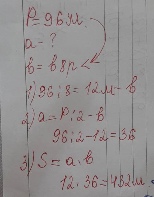
Периметр прямоугольника равен 96 м и он в 8 раз больше одной из сторон прямоугольника.найдите площадь прямоугольника.можно только по короче действия то-есть в 2 действия не более 3 действий уложиться

👇
Ответ:
FrenkieMC
FrenkieMC
23.12.2022

Пошаговое объяснение:

Найдем сторону прямоугольника.

96/8=12м. (одна сторона)

96=2(х+12).

48=х+12.

х=48-12=36м.(вторая  сторона)

S=12*36=432м².

4,7(22 оценок)
Ответ:
srigermisha1
srigermisha1
23.12.2022

Вот так решается эта задача


Периметр прямоугольника равен 96 м и он в 8 раз больше одной из сторон прямоугольника.найдите площад
4,8(8 оценок)
Открыть все ответы
Ответ:
rebkovets2015
rebkovets2015
23.12.2022
1 полка  (рисование) - ? кн.
2 полка (рукоделие)- на 6 меньше, чем по рисованию.
3 полка (лепка)- на 5 меньше, чем по рисованию.
Всего 34 книги.
Примем за Х - количество книг на 1 полке , тогда 2 полка - (х-6), 3 полка - (х-5). Т.к.  сумма всех книг равняется 34, можно составить уравнение.
х+(х-6)+(х-5)=34
3х-11=34
3х= 34+11
3х= 45
х=45:3
х=15 (книг) на 1 полке  (рисование)
15-6=9 (кн.) на 2 полке (рукоделие)
15-5=10 (кн.) на 3 полке (лепка)
ответ : в библиотеке 15 книг по рисованию, 9 книг по рукоделию,  10 книг по лепке.
4,8(38 оценок)
Ответ:
яч123
яч123
23.12.2022
1 год:
Пусть площадь поля, засеянного овсом - х,
тогда площадь поля, засеянного пшеницей - 2х.
Общая площадь поля - у.
2 год:
Площадь поля, засеянного овсом - 2х +20%, или 2х+0,2х;
Площадь поля, засеянного пшеницей - х+15%, или х+0,15х.
Общая площадь поля - у+11.

Составим систему уравнений:

х+2х=у
2х+0,2х+х+0,15х=у+15.

Подставим во 2е уровнения вместо у выражение:
2х+0,2х+х+0,15х=х+2х+11
Решаем
2х+0,2х+х+0,15х-х-2х=11
0,35х=11
х=11/0,35
х=31,43

Вычислим у:
у=х+2х
у=31,43+2*31,43
у=94,29 (общая площадь поля в первом году)

Во втором году на 11 га больше, соответственно:
94,29+11=105,29 га - площадь поля, засеянного пшеницей и овсом на следующий год
4,7(76 оценок)
Это интересно:
Новые ответы от MOGZ: Математика
logo
Вход Регистрация
Что ты хочешь узнать?
Спроси Mozg
Открыть лучший ответ