М
Молодежь
К
Компьютеры-и-электроника
Д
Дом-и-сад
С
Стиль-и-уход-за-собой
П
Праздники-и-традиции
Т
Транспорт
П
Путешествия
С
Семейная-жизнь
Ф
Философия-и-религия
Б
Без категории
М
Мир-работы
Х
Хобби-и-рукоделие
И
Искусство-и-развлечения
В
Взаимоотношения
З
Здоровье
К
Кулинария-и-гостеприимство
Ф
Финансы-и-бизнес
П
Питомцы-и-животные
О
Образование
О
Образование-и-коммуникации
MrHard1
MrHard1
16.12.2020 11:47 •  Математика

Решите дифференциальное уравнение

2xy′ + y=3x

заранее огромное

👇
Ответ:
Варя0601
Варя0601
16.12.2020

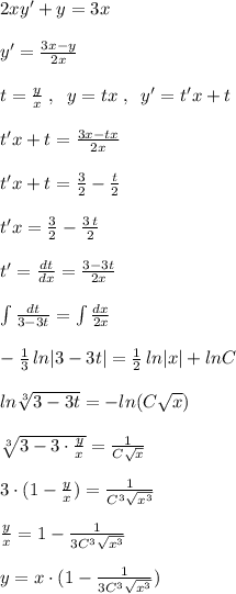
2xy'+y=3x\\\\y'=\frac{3x-y}{2x}\\\\t=\frac{y}{x}\; ,\; \; y=tx\; ,\; \; y'=t'x+t\\\\t'x+t=\frac{3x-tx}{2x}\\\\t'x+t=\frac{3}{2}-\frac{t}{2}\\\\t'x=\frac{3}{2}-\frac{3\, t}{2}\\\\t'=\frac{dt}{dx} =\frac{3-3t}{2x}\\\\\int \frac{dt}{3-3t}=\int \frac{dx}{2x}\\\\-\frac{1}{3}\, ln|3-3t|=\frac{1}{2}\, ln|x|+lnC\\\\ln\sqrt[3]{3-3t}=-ln(C\sqrt{x})\\\\\sqrt[3]{3-3\cdot \frac{y}{x}}=\frac{1}{C\sqrt{x}}\\\\3\cdot (1-\frac{y}{x})=\frac{1}{C^3\sqrt{x^3}}\\\\\frac{y}{x}=1-\frac{1}{3C^3\sqrt{x^3}}\\\\y=x\cdot (1-\frac{1}{3C^3\sqrt{x^3}})

4,8(40 оценок)
Ответ:
irinamotorueva
irinamotorueva
16.12.2020

y = x + C/√x

Пошаговое объяснение:


Решите дифференциальное уравнение 2xy′ + y=3x заранее огромное
4,7(96 оценок)
Открыть все ответы
Ответ:
dimailiysovдима
dimailiysovдима
16.12.2020

Предположим, что х - это количество грузовых автомобилей, а (750-х) - это количество легковых автомобилей,

у грузовых автомобилей 6 колёс, а у легковых автомобилей - 4, также из условия задачи известно, что всего 3 024 колеса

тогда согласно этим данным можно составить уравнение:

6х+4(750-х)=3 024

6х+3 000-4х=3 024

2х+3 000=3 024

2х=3 024-3 000

2х=24

х=24:2

х=12 (м.) - грузовые автомобили.

750-х=750-12=738 (м.) - легковые автомобили.

1) 750·4=3 000 (к.) - было бы колёс, если бы все автомобили были легковыми.

2) 3 024-3 000=24 (к.) - лишнее количество колёс (сколько колёс имеется потому, что среди автомобилей есть грузовые).

3) 6-4=2 (части) - разница в количестве колёс (у грузовых автомобилей на 2 колеса больше, чем у легковых)

4) 24:2=12 (м.) - грузовые автомобили.

5) 750-12 =738 (м.) - легковые автомобили.

ответ: в гараже стоят 12 грузовых автомобилей и 738 легковых автомобилей.

Проверка:

12+738=750 (шт.) – автомобилей всего.

12·6=72 (колёса у грузовых автомобилей)

738·4=2 952 (колёса у легковых автомобилей)

72+2 952=3 024 (колеса всего)

пусть все линейки будут по 20 см,тогда
1)20*100=2000см длина всех линеек
2)22м=2200см,2200-2000=200см разница в длине 
3)30-20=10см разница в длине линейки
4)200:10=20лин.по 30 см,тогда5)100-20= 80 лин.по 20см,делаем проверку:20*80+30*20=1600+600=2200см= 22 м длина всех линеек,задача решена верно.

4,8(98 оценок)
Ответ:
geo2015brosto
geo2015brosto
16.12.2020

Предположим, что х - это количество грузовых автомобилей, а (750-х) - это количество легковых автомобилей,

у грузовых автомобилей 6 колёс, а у легковых автомобилей - 4, также из условия задачи известно, что всего 3 024 колеса

тогда согласно этим данным можно составить уравнение:

6х+4(750-х)=3 024

6х+3 000-4х=3 024

2х+3 000=3 024

2х=3 024-3 000

2х=24

х=24:2

х=12 (м.) - грузовые автомобили.

750-х=750-12=738 (м.) - легковые автомобили.

1) 750·4=3 000 (к.) - было бы колёс, если бы все автомобили были легковыми.

2) 3 024-3 000=24 (к.) - лишнее количество колёс (сколько колёс имеется потому, что среди автомобилей есть грузовые).

3) 6-4=2 (части) - разница в количестве колёс (у грузовых автомобилей на 2 колеса больше, чем у легковых)

4) 24:2=12 (м.) - грузовые автомобили.

5) 750-12 =738 (м.) - легковые автомобили.

ответ: в гараже стоят 12 грузовых автомобилей и 738 легковых автомобилей.

Проверка:

12+738=750 (шт.) – автомобилей всего.

12·6=72 (колёса у грузовых автомобилей)

738·4=2 952 (колёса у легковых автомобилей)

72+2 952=3 024 (колеса всего)

пусть все линейки будут по 20 см,тогда
1)20*100=2000см длина всех линеек
2)22м=2200см,2200-2000=200см разница в длине 
3)30-20=10см разница в длине линейки
4)200:10=20лин.по 30 см,тогда5)100-20= 80 лин.по 20см,делаем проверку:20*80+30*20=1600+600=2200см= 22 м длина всех линеек,задача решена верно.

4,8(36 оценок)
Новые ответы от MOGZ: Математика
logo
Вход Регистрация
Что ты хочешь узнать?
Спроси Mozg
Открыть лучший ответ