М
Молодежь
К
Компьютеры-и-электроника
Д
Дом-и-сад
С
Стиль-и-уход-за-собой
П
Праздники-и-традиции
Т
Транспорт
П
Путешествия
С
Семейная-жизнь
Ф
Философия-и-религия
Б
Без категории
М
Мир-работы
Х
Хобби-и-рукоделие
И
Искусство-и-развлечения
В
Взаимоотношения
З
Здоровье
К
Кулинария-и-гостеприимство
Ф
Финансы-и-бизнес
П
Питомцы-и-животные
О
Образование
О
Образование-и-коммуникации
emv63756
emv63756
26.09.2020 17:54 •  Математика

Подберите такую несократимую дробь p/q, для которой верно равенство p/q*(-6/7)*7/6*(-8/5)*9/4*(-10/3)=1
50

👇
Ответ:
bebe13
bebe13
26.09.2020

Пошаговое объяснение:

p/q*(-6/7)*7/6*(-8/5)*9/4*(-10/3)=1

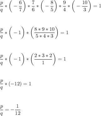
\displaystyle\\\frac{p}{q} *\bigg(-\frac{6}{7}\bigg)*\frac{7}{6}*\bigg(-\frac{8}{5}\bigg)*\frac{9}{4} *\bigg(-\frac{10}{3}\bigg)=1\\\\\\\\\frac{p}{q} *\bigg(-1\bigg)*\bigg(\frac{8*9*10}{5*4*3}\bigg)=1\\\\\\\\\frac{p}{q} *\bigg(-1\bigg)*\bigg(\frac{2*3*2}{1}\bigg)=1 \\\\\\\\\frac{p}{q}*(-12)=1\\\\\\\\\frac{p}{q}=-\frac{1}{12} \\

4,6(19 оценок)
Открыть все ответы
Ответ:

Задание № 6:

В трёх корзинах лежат яблоки. В первой на 1010 яблок меньше, чем в двух других вместе, а во второй на 1616 яблок меньше, чем в первом и третьем. Сколько яблок в третьей корзине?

в первом х, во втором у, в третьем z

x=y+z-1010

y=x+z-1616

подставим первое во второе

y=y+z-1010+z-1616

0=z-1010+z-1616

2z=2626

z=1313

ответ: 1313


оригинал

Задание № 6:

В трёх корзинах лежат яблоки. В первой на 10 яблок меньше, чем в двух других вместе, а во второй на 16 яблок меньше, чем в первом и третьем. Сколько яблок в третьей корзине?

в первом х, во втором у, в третьем z

x=y+z-10

y=x+z-16

подставим первое во второе

y=y+z-10+z-16

0=z-10+z-16

2z=26

z=13

ответ: 13

4,6(3 оценок)
Ответ:
Keks200220
Keks200220
26.09.2020

Задание № 6:

В трёх корзинах лежат яблоки. В первой на 1010 яблок меньше, чем в двух других вместе, а во второй на 1616 яблок меньше, чем в первом и третьем. Сколько яблок в третьей корзине?

в первом х, во втором у, в третьем z

x=y+z-1010

y=x+z-1616

подставим первое во второе

y=y+z-1010+z-1616

0=z-1010+z-1616

2z=2626

z=1313

ответ: 1313



но если по-другому

Задание № 6:

В трёх корзинах лежат яблоки. В первой на 10 яблок меньше, чем в двух других вместе, а во второй на 16 яблок меньше, чем в первом и третьем. Сколько яблок в третьей корзине?

в первом х, во втором у, в третьем z

x=y+z-10

y=x+z-16

подставим первое во второе

y=y+z-10+z-16

0=z-10+z-16

2z=26

z=13

ответ: 13

4,8(5 оценок)
Это интересно:
Новые ответы от MOGZ: Математика
logo
Вход Регистрация
Что ты хочешь узнать?
Спроси Mozg
Открыть лучший ответ