М
Молодежь
К
Компьютеры-и-электроника
Д
Дом-и-сад
С
Стиль-и-уход-за-собой
П
Праздники-и-традиции
Т
Транспорт
П
Путешествия
С
Семейная-жизнь
Ф
Философия-и-религия
Б
Без категории
М
Мир-работы
Х
Хобби-и-рукоделие
И
Искусство-и-развлечения
В
Взаимоотношения
З
Здоровье
К
Кулинария-и-гостеприимство
Ф
Финансы-и-бизнес
П
Питомцы-и-животные
О
Образование
О
Образование-и-коммуникации
MimINL
MimINL
05.12.2021 21:09 •  Математика

Найдите корни уравнений

1) 2х + 4 = 6
2) 3х + 7 = х расписать подробнее​

👇
Ответ:
AbaiMalik05
AbaiMalik05
05.12.2021

Пошаговое объяснение:

Держи, вроде так))))))))


Найдите корни уравнений 1) 2х + 4 = 62) 3х + 7 = х расписать подробнее​
4,8(24 оценок)
Ответ:
отличник722
отличник722
05.12.2021

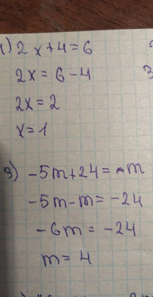
1)

2х=6-4

2х=2

Х=2÷2

Х=1

2)

3х-х=-7

2х=-7

Х=-7÷2

Х=-3,5

3)

-5m-m=-24

-6m=-24

m=-24÷-6

m=4

4)

-m+2m=16

m=16

4,5(59 оценок)
Открыть все ответы
Ответ:
znani5
znani5
05.12.2021

Пусть х - цена яблок, у - цена груш, тогда

х - 0,4х = 0,6х - цена яблок после снижения на 40%

у + 0,5у = 1,5у - цена груш после повышения на 50%

Составим систему уравнений по условию задачи:

{5х + 3у = 60

{5 · 0,6х + 3 · 1,5у = 63

- - - - - - - - -

{5х + 3у = 60

{3х + 4,5у = 63

- - - - - - - - -

Разделим обе части второго уравнения системы на 3

х + 1,5у = 21

х = 21 - 1,5у

Подставим значение х в первое уравнение системы

5 · (21 - 1,5у) + 3у = 60

105 - 7,5у + 3у = 60

105 - 60 = 7,5у - 3у

45 = 4,5у

у = 45 : 4,5

у = 10 (грн.) - первоначальная цена груш

х = 21 - 1,5 · 10

х = 21 - 15

х = 6 (грн.) - первоначальная цена яблок

10 + 6 = 16 (грн.) - сумма грн.

Вiдповiдь: 16 грн.

4,8(10 оценок)
Ответ:
gulya101
gulya101
05.12.2021

b+c=3a; a+c=3b; a+b=3c; a=0; b=0; c=0.

Поменяв местами числители и знаменатели, получаем 

P=\frac{b}{a}+\frac{c}{a}=\frac{a}{b}+\frac{c}{b}=\frac{a}{c}+\frac{b}{c}P=ab+ac=ba+bc=ca+cb

Требуется найти \frac{b}{a}+\frac{c}{a}-5(\frac{a}{b}+\frac{c}{b})=-4P.ab+ac−5(ba+bc)=−4P. Остается найти P. 

Из первого равенства следует, что c(b-a)=a^2-b^2.c(b−a)=a2−b2. Аналогично получаем a(c-b)=b^2=c^2;\ b(a-c)=c^2-a^2.a(c−b)=b2=c2; b(a−c)=c2−a2.

1-й случай. Среди a, b, c есть разные. Пусть, например, a не равен b. Сокращая первое из полученных равенств на (b-a), получаем c=-(a+b),

а тогда 

\frac{b}{a}+\frac{c}{a}=\frac{a}{b}+\frac{c}{b}=\frac{a}{c}+\frac{b}{c}=-1;\ P=-1; -4P=4ab+ac=ba+bc=ca+cb=−1; P=−1;−4P=4

2-й случай. a=b=c. В этом случае P=2; - 4P= - 8.

В ответ нужно было записать сумму получившихся значений: 4 - 8= - 4

4,8(35 оценок)
Это интересно:
Новые ответы от MOGZ: Математика
logo
Вход Регистрация
Что ты хочешь узнать?
Спроси Mozg
Открыть лучший ответ