решения.
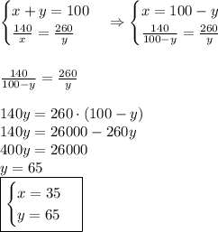
система уравнений
x м² - площадь первого участка, y м² - площадь второго участка.
x+y = 100
140/x кустов на 1 м² на первом участке, 260/y кустов на 1 м² на втором участке.
140/x = 260/y.
Составим и решим систему уравнений:

уравнение
x м² - площадь первого участка, 100-x м² - площадь второго участка.
140/x кустов на 1 м² на первом участке, 140/(100-x) кустов на 1 м² на втором участке.

Площадь первого участка 35 м², площадь второго 100-35 = 65 м².
Пошаговое объяснение:
1 и 2 уч=100 м²
1 уч.-140 кустиков рассады
2 уч-260 кустиков рассады
1 уч- ? м²
2 уч-? м²
1) 140+260=400 кустиков всего
2) 400:100=4 кустика на 1 м²
3) 140:4=35 м² 1 участок
4) 260:4=65 м² 2 участок
ответ: 1 уч. 35 м², 2 уч. 65 м²