
0;1;2
Объяснение:
Просто поставь цифры вместо а и решай всё просто,
например:
для 0:
а=0
а+12=0+12=12
18-а=18-0=18
12 меньше чем 18 значить один из ответов это 0, пойдём дальше.
для 1:
а=1
а+12=1+12=13
18-а=18-1=17
13 меньше чем 17 значить один из ответов это 1, пойдём дальше.
для 2:
а=2
а+12=2+12=14
18-а=18-2=16
14 меньше чем 16 значить один из ответов это 2, пойдём дальше.
для 3:
а=3
а+12=3+12=15
18-а=18-3=15
15 ровно 15-и значить ответ не 3, и если пойдём дальше то первый вариант а+12 всегда будет больше чем 18-а.
поэтому ответ 0;1;2
если что то не понятно всегда попроси у учительницы или учителя, спрашивая мы учимся:)
Пошаговое объяснение:
1)
ответ: 9.
2)
ответ: -1.
3)
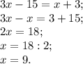
ответ: 7.
4)
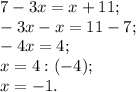
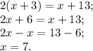
ответ: 3.
5)
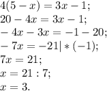
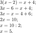
ответ: 5.
6)
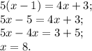
ответ: 8.