М
Молодежь
К
Компьютеры-и-электроника
Д
Дом-и-сад
С
Стиль-и-уход-за-собой
П
Праздники-и-традиции
Т
Транспорт
П
Путешествия
С
Семейная-жизнь
Ф
Философия-и-религия
Б
Без категории
М
Мир-работы
Х
Хобби-и-рукоделие
И
Искусство-и-развлечения
В
Взаимоотношения
З
Здоровье
К
Кулинария-и-гостеприимство
Ф
Финансы-и-бизнес
П
Питомцы-и-животные
О
Образование
О
Образование-и-коммуникации
katyabobkova
katyabobkova
21.03.2022 06:51 •  Математика

x + \frac{1}{9} \times x = 1 \frac{2}{3}

👇
Ответ:
Асат11
Асат11
21.03.2022

\tt\displaystyle x+\frac{1}{9}x=1\frac{2}{3}\\\\\\1\frac{1}{9}x=\frac{1*3+2}{3}\\\\\\\frac{1*9+1}{9}x=\frac{5}{3}\\\\\\\frac{10}{9}x=\frac{5}{3}\\\\\\x=\frac{5}{3}:\frac{10}{9}\\\\\\x=\frac{5}{3}*\frac{9}{10}\\\\\\x=\frac{3}{2}\\\\\\x=1,5

ответ: 1,5

4,8(40 оценок)
Ответ:
alenushkabelya
alenushkabelya
21.03.2022
Решить уравнение.

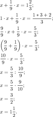
x + \dfrac{1}{9}\cdot x = 1\dfrac{2}{3};\\\\1\cdot x + \dfrac{1}{9}\cdot x = \dfrac{1*3+2}{3};\\\\\dfrac{9}{9}\cdot x + \dfrac{1}{9}\cdot x = \dfrac{5}{3};\\\\\left(\dfrac{9}{9} + \dfrac{1}{9}\right)\cdot x = \dfrac{5}{3};\\\\\dfrac{10}{9}\cdot x = \dfrac{5}{3};\\\\x = \dfrac{5}{3}:\dfrac{10}{9};\\\\x = \dfrac{5}{3}\cdot\dfrac{9}{10};\\\\x = \dfrac{3}{2};\\\\x = 1\dfrac{1}{2}.

ответ: \bf x = 1\dfrac{1}{2}.
4,6(3 оценок)
Открыть все ответы
Ответ:
077k
077k
21.03.2022
1) ax-3bx-cx (Общее число X. выносим за скобки. оставшееся оставляем.)
x(a-3b-c)
проверяем. умножаем a-3b-c на X => xa-3bx-cx. все правильно
3) 2dx-6dy-8dn (Общее число 2 (2×3=6;2×4=8) и D)
2d(x-3y-4n). проверяем. |×2d =>{2dx-6dy-8dn}
4) -5n^2+20nx-15ny (-5n×n (Т.к. квадрат не относится к знаку минуса)) Общее число 5n [5×1=5;4×5=20;3×5=15]. Т.е. в начале стоит знак минус. то мы должны вфнес его за скобки. А значит все знаки меняются.
-5n(n-4x+3y) проверяем =>{-5n^2+20nx-15ny}
2) -bt-bn-bk. Тоже самое что и в остальных. Знак минуса в начале, общее - B
-b(t+n+k) проверка => -bt-bn-bk
4,7(21 оценок)
Ответ:
marta4191
marta4191
21.03.2022
Здоровье – это состояние человека, когда в организме возникают соответствующие реакции в ответ на действие разных раздражителей. Организм человека – это сложнейшая биологическая система, которая состоит из органов и различных систем, взаимосвязанных между собой. Если происходит сбой в одной из систем, или болеет один из органов – это влечёт за собой проблемы в функционировании всего организма, как единой системы. Зная месторасположение органов, можно с точностью выявить очаг заболевания, не откладывая, прийти на приём к врачу, который, с современных методов диагностики и соответствующих анализов установит причину болезни. К своему организму нужно относиться бережно, не откладывать визиты к докторам, так как другого, нового организма, так как и органов, нам никто не даст.
4,4(32 оценок)
Это интересно:
Новые ответы от MOGZ: Математика
logo
Вход Регистрация
Что ты хочешь узнать?
Спроси Mozg
Открыть лучший ответ