М
Молодежь
К
Компьютеры-и-электроника
Д
Дом-и-сад
С
Стиль-и-уход-за-собой
П
Праздники-и-традиции
Т
Транспорт
П
Путешествия
С
Семейная-жизнь
Ф
Философия-и-религия
Б
Без категории
М
Мир-работы
Х
Хобби-и-рукоделие
И
Искусство-и-развлечения
В
Взаимоотношения
З
Здоровье
К
Кулинария-и-гостеприимство
Ф
Финансы-и-бизнес
П
Питомцы-и-животные
О
Образование
О
Образование-и-коммуникации

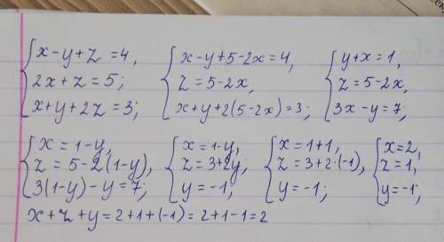
Найдите сумму x+y+z, если (x,y,z) - решения системы уравнений
x-y+z=4
2x+z=5
x+y+2z=3

👇
Ответ:
MaximRomanenko
MaximRomanenko
30.12.2021

..........................


Найдите сумму x+y+z, если (x,y,z) - решения системы уравнений x-y+z=4 2x+z=5 x+y+2z=3
4,5(42 оценок)
Ответ:
Милана1245
Милана1245
30.12.2021
Чтобы найти сумму x+y+z, мы должны найти значения x, y и z, которые удовлетворяют всем трем уравнениям системы.

Давайте решим данную систему пошагово.

Первое уравнение: x - y + z = 4
Мы можем переписать его в виде: x = y - z + 4
Запишем это в качестве (1)

Второе уравнение: 2x + z = 5
Заменим значение x из уравнения (1):
2(y - z + 4) + z = 5
Распределение:
2y - 2z + 8 + z = 5
Сокращение:
2y - z + 8 = 5
Перегруппируем:
2y - z = 5 - 8
2y - z = -3
Запишем это в качестве (2)

Третье уравнение: x + y + 2z = 3
Заменим значение x из уравнения (1):
(y - z + 4) + y + 2z = 3
Распределение:
2y - z + 4 + 2z = 3
Сокращение:
2y + z + 4 = 3
Перегруппируем:
2y + z = 3 - 4
2y + z = -1
Запишем это в качестве (3)

Теперь у нас есть система из трех уравнений:
(1) x = y - z + 4
(2) 2y - z = -3
(3) 2y + z = -1

Давайте решим эту систему методом замены.

Cначала найдем значение y из уравнения (2). Для этого выразим z через y из уравнения (2) и подставим его в уравнение (3).
2y - z = -3
z = 2y + 3
Подставим значение z в уравнение (3):
2y + (2y + 3) = -1
Распределение:
2y + 2y + 3 = -1
Сокращение:
4y + 3 = -1
Перегруппируем:
4y = -1 - 3
4y = -4
Разделим обе части на 4:
y = -1

Теперь найдем значение z, подставив значение y в уравнение (2):
2(-1) - z = -3
-2 - z = -3
Перегруппируем:
z = -3 + 2
z = -1

Наконец, найдем значение x, подставив значения y и z в уравнение (1):
x = (-1) - (-1) + 4
x = 1 + 1 + 4
x = 6

Таким образом, решение системы уравнений x-y+z=4, 2x+z=5, x+y+2z=3 состоит из значений x = 6, y = -1, z = -1.

И, наконец, найдем сумму x+y+z:
6 + (-1) + (-1) = 4

Таким образом, сумма x+y+z равна 4.
4,6(2 оценок)
Проверить ответ в нейросети
Новые ответы от MOGZ: Математика
logo
Вход Регистрация
Что ты хочешь узнать?
Спроси Mozg
Открыть лучший ответ