М
Молодежь
К
Компьютеры-и-электроника
Д
Дом-и-сад
С
Стиль-и-уход-за-собой
П
Праздники-и-традиции
Т
Транспорт
П
Путешествия
С
Семейная-жизнь
Ф
Философия-и-религия
Б
Без категории
М
Мир-работы
Х
Хобби-и-рукоделие
И
Искусство-и-развлечения
В
Взаимоотношения
З
Здоровье
К
Кулинария-и-гостеприимство
Ф
Финансы-и-бизнес
П
Питомцы-и-животные
О
Образование
О
Образование-и-коммуникации
Shady2002
Shady2002
10.04.2021 10:13 •  Математика

С

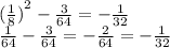
(3+√3) во 2 степени + (3-√3) во 2 степени

x+4=3/5

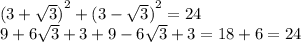
(1/8) во 2 степени - 3/64

👇
Ответ:
sallga
sallga
10.04.2021

1) 24

2) -17/5

3) -1/32

Пошаговое объяснение:

{(3 + \sqrt{3} )}^{2} + {(3 - \sqrt{3} )}^{2} = 24 \\ 9 + 6 \sqrt{3} + 3 + 9 - 6 \sqrt{3} + 3 =18 + 6 = 24

x + 4 = \frac{3}{5} \\ x = \frac{3}{5} - 4 \\ x = \frac{3 - 20}{5} = - \frac{17}{5}

{( \frac{1}{8} )}^{2} - \frac{3}{64} = - \frac{1}{32} \\ \frac{1}{64} - \frac{3}{64} = - \frac{2}{64} = - \frac{1}{32}

4,6(93 оценок)
Открыть все ответы
Ответ:
senator95p0dese
senator95p0dese
10.04.2021
5850  2     5850=2*3*3*5*5*13      7200  2      7200=2*2*2*2*2*3*3*5*5
2925  3                                       3600  2
  975  3                                       1800  2
  325  5                                         900  2
    65  5                                         450  2  
    13  13                                        225  3
      1                                               75  3
                                                       25  5
                                                         5  5
                                                         1
4,6(80 оценок)
Ответ:
Иван66665
Иван66665
10.04.2021
ответ:

Скорость 1 - 54 км./ч

Скорость 2 - 72 км/ч

Путь 504 км

 

504:(54+72)=504:126=4 ч.

ответ: через 4 часa встретятся

ответ #2:

54+18=72 км/час скорость второго поезда

54+72= 126 км/час общая скорость

504:126= 4 часа 

 

2 вариант решения:

С одной станции одновременно в противоположных направлениях вышли два поезда. Скорость одного из них 54 км/ч, а скорость другого на 18 км/ч больше. Через сколько часов расстояние между ними будет равно 504 км?

ответ:

54+18=72 км/ч скорость другого

72+54=126 км/ч общая скорость

504/126=4 часа

 

4,7(34 оценок)
Это интересно:
Новые ответы от MOGZ: Математика
logo
Вход Регистрация
Что ты хочешь узнать?
Спроси Mozg
Открыть лучший ответ