М
Молодежь
К
Компьютеры-и-электроника
Д
Дом-и-сад
С
Стиль-и-уход-за-собой
П
Праздники-и-традиции
Т
Транспорт
П
Путешествия
С
Семейная-жизнь
Ф
Философия-и-религия
Б
Без категории
М
Мир-работы
Х
Хобби-и-рукоделие
И
Искусство-и-развлечения
В
Взаимоотношения
З
Здоровье
К
Кулинария-и-гостеприимство
Ф
Финансы-и-бизнес
П
Питомцы-и-животные
О
Образование
О
Образование-и-коммуникации
GABITOV2018
GABITOV2018
23.09.2021 04:46 •  Математика

Логарифмические уравнения, решить

👇
Ответ:

Пошаговое объяснение:

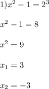
1) x^2 - 1 = 2^3\\\\x^2-1 = 8\\\\x^2 = 9\\\\x_1 = 3\\\\x_2 = -3

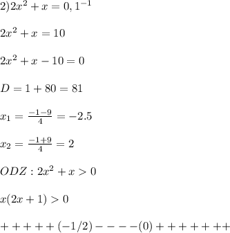
2) 2x^2+x=0,1^{-1}\\\\2x^2+x=10\\\\2x^2+x-10=0\\\\D=1+80=81\\\\x_1=\frac{-1-9}{4} =-2.5\\\\x_2=\frac{-1+9}{4} =2\\\\ODZ:2x^2+x0\\\\x(2x+1)0\\\\+++++(-1/2)----(0)+++++++

4,5(47 оценок)
Ответ:
KidFlash1111
KidFlash1111
23.09.2021

Пошаговое объяснение:


Логарифмические уравнения, решить
4,6(68 оценок)
Открыть все ответы
Ответ:
ebusuruna
ebusuruna
23.09.2021
     Пусть у Оли есть некая сумма денег  , т.к. по условию ее не хватает на 8 блокнотов по 8 рублей, то она  меньше 8*8, т.е. меньше 64 руб, И Оля может купить менее 8 блокнотов по 8 рублей на свои деньги.
     Оля не может также купить и 7 блокнотов по 8 рублей, так как они бы стоили столько же, сколько и 8 блокнотов по 7 рублей, и был бы одинаковый остаток, что противоречит условию.
      Остаток от покупки на ВСЕ деньги блокнотов по 7 рублей меньше 7 рублей, так как в противном случае можно было купить еще один блокнот, а Оля их купила максимальное количество: "на все деньги", но остаток не должен быть меньше 6 рублей, так как про этом нарушалось бы условие, что при покупке 8-рублевых блокнотом остаток БЫЛ БЫ и был на 5 рублей меньше. Единственный вариант остатка : 6 рублей для 7 рублевых и 1 рубль для 8 рублевых блокнотов.
     Мы нашли, что  Оля не может купить ни 8, ни 7 блокнотов по 8 рублей, но и 6 блокнотов по 8 рублей она тоже не может купить, т.к. в таком случае у нее было бы  8*6+1 = 49 рублей и она могла бы купить 7 блокнотов по 7 рублей без остатка, что противоречит условию.
      Разница между остатками в 5 рублей означает, что  при покупке 8-ми рублевых блокнотов к каждому купленному блокноту по 7 добавили по 1 рублю, и этого хватило на 5 блокнотов: 5:1=5(бл.)
      Тогда  денег было: 8*5+1 = 41(рубль)
ответ: 41 рубль
Проверка: 41 : 7 = 5(бл.)+ 6 руб(остаток.). 6-1=5, что соответствует условию.
4,7(53 оценок)
Ответ:
31101960
31101960
23.09.2021

Человеко-час = Кол-во работников ⋅ Кол-во часов на рабочем месте  Человеко-час = Кол-во работников ⋅ Кол-во часов на рабочем месте . Следовательно, если во второй области a2=a2= Кол-во работников * 10, то кол-во работников = a210a210 и они добывают за 10 ч aaкг металла.

АлюминийНикельКол-во рабочих, челКол-во металла за смену (10 ч), кгКол-во рабочих, челКол-во металла за смену (10 ч), кгОбласть 1xx (x≥0)(x≥0)10⋅0,3⋅x10⋅0,3⋅x100−x100−x10⋅0,1⋅(100−x)10⋅0,1⋅(100−x)Область 2a210a210aab210b210bbВсего3x+ a3x+ a100−x+b100−x+b

Заметим, что a210+b210=100a210+b210=100, откуда b=1000−a2−−−−−−−−√b=1000−a2.

Поскольку никель и алюминий в сплаве взяты в отношении 1:1, то 3x+ a=100−x+b3x+ a=100−x+b, откуда

x=100−a+b4(∗)x=100−a+b4(∗)

Пусть ff кг — масса сплава, она в 2 раза больше массы никеля: f=2(100−x+b)f=2(100−x+b). Будем искать наибольшее возможное значение этого выражения, подставив в него(∗)(∗) и b=1000−a2−−−−−−−−√b=1000−a2:

f=2(100−100−a+b4+b);f=2(100−100−a+b4+b);f=200−50+a2−b2+2b;f=200−50+a2−b2+2b;f=150+a2+3b2;f=150+a2+3b2;f=150+a2+321000−a2−−−−−−−−√;f=150+a2+321000−a2;f′=12−3a21000−a2−−−−−−−−√;f′=12−3a21000−a2;

f′=0f′=0 при 1000−a2−−−−−−−−√=3a;1000−a2=3a; 10a2=1000;10a2=1000; a=10a=10, таккак 0≤a≤1000−−−−√0≤a≤1000.

В найденной точке производная меняет знак с плюса на минус, поэтому в ней функция достигает максимума, совпадающего с наибольшим значением функции на исследуемой области.

Далее имеем: a=10,a=10, b=1000−102−−−−−−−−−√=30,b=1000−102=30, x=100−10+304=30,x=100−10+304=30, f(10)=2(100−x+b)=2(100−30+30)=200f(10)=2(100−x+b)=2(100−30+30)=200 кг. Это означает, что 30 рабочих первой области и 10 из второй должны быть заняты на производстве алюминия, за сутки они добудут 90 + 10 = 100 кг алюминия, оставшиеся 70 рабочих первой области и 90 рабочих второй области должны быть заняты на добыче никеля, за сутки они добудут 70 + 30 = 100 кг никеля. Из добытых металлов будет произведено 200 кг сплава.

4,7(42 оценок)
Новые ответы от MOGZ: Математика
logo
Вход Регистрация
Что ты хочешь узнать?
Спроси Mozg
Открыть лучший ответ