М
Молодежь
К
Компьютеры-и-электроника
Д
Дом-и-сад
С
Стиль-и-уход-за-собой
П
Праздники-и-традиции
Т
Транспорт
П
Путешествия
С
Семейная-жизнь
Ф
Философия-и-религия
Б
Без категории
М
Мир-работы
Х
Хобби-и-рукоделие
И
Искусство-и-развлечения
В
Взаимоотношения
З
Здоровье
К
Кулинария-и-гостеприимство
Ф
Финансы-и-бизнес
П
Питомцы-и-животные
О
Образование
О
Образование-и-коммуникации
SABA30031
SABA30031
14.05.2023 12:41 •  Математика

Решить иррациональное неравенство. \sqrt{x+7}\ \textless \ x
как можно подробнее
ответ (\frac{1+\sqrt{29} }{2}; +∞)

👇
Ответ:
VikaNika16
VikaNika16
14.05.2023

\sqrt{x+7}

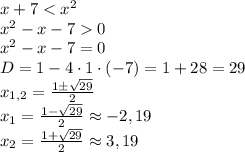
ОДЗ:

\begin{cases}x+7\geq0\\x0\end{cases}\Rightarrow\begin{cases}x\geq-7\\x0\end{cases}\Rightarrow x0

Решение: возведём обе части неравенства в квадрат:

x+70\\x^2-x-7=0\\D=1-4\cdot1\cdot(-7)=1+28=29\\x_{1,2}=\frac{1\pm\sqrt{29}}2\\x_1=\frac{1-\sqrt{29}}2\approx-2,19\\x_2=\frac{1+\sqrt{29}}2\approx3,19

Первый корень не подходит по ОДЗ. Значит x\in\left(\frac{1+\sqrt{29}}2;\;+\infty\right).

4,7(43 оценок)
Открыть все ответы
Ответ:
алишер128
алишер128
14.05.2023

1.

2. 111, 117, 171, 711, 771, 777

3. на позицию первой цифры у нас выбор из 9 цифр (все, кроме 0)

на позицию второй так же из 9 (все, включая 0, но без той, которая на первой позиции)

на позицию третьей из 8 (все, без первых двух)

значит всего чисел: 9*9*8 = 648

ответ: 648

4. 1) 120   2) 240

1) если первым стоит истории, то остальные 5 предметов могут стоять в любом порядке, значит всего может быть 5!=1*2*3*4*5=120 расстановок

2)почти таким же методом можно найти количество расстановок если биология и химия стоят рядом, у нас останется 4 предмета которые могут стоять в любом порядке это 4!=1*2*3*4=24, но нас ещё может быть биология и химия в разных 5 местах  (по краям и между другими предметами) и сами биология и химия могут меняться местами 1 раз  выходит, что мы 24*5=120 и 120*2=240 так как мы можем поменять 1 раз биологию с химией и всего у нас 240 расстановок.

5. 192 дерева

1200:100*40 = 1200*0,4 = 480 (деревьев) - первый день

480:100*110 = 480*1,1 = 528 (деревьев) - второй день

1200 - (480 + 528) = 1200 - 1008 = 192 (дерева) - третий день

4,5(79 оценок)
Ответ:
HesteVlad
HesteVlad
14.05.2023
2)111,117,171,711,771,777
3) 3. на позицию первой цифры у нас выбор из 9 цифр (все, кроме 0) на позицию второй так же из 9 (все, включая 0, но без той, которая на первой позиции) на позицию третьей из 8 (все, без первых двух) значит всего чисел: 9*9*8 = 648
ответ:648
4)1)120; 2)240
1) если первым стоит истории, то остальные 5 предметов могут стоять в любом порядке, значит воего может быть 5! 31*2*3*4*5-120 расстановок 2) почти таким же мет можно найти количество расстановок если биология и химия стоят рядом, у нас останется 4 предмета которые могут стоять в любом порядке это 4!%3D1*2*3*4-24, но нас ещё может быть биология и химия в разных 5 местах (по краям и между другими предметами) и сами биология и химия могут меняться местами 1 раз выходит, что мы 24*5-120 и 120*2-240 так как мы можем поменять 1 раз биологию с химией и всего у нас 240 расстановок.
5. 192 дерева 1200:100*40 = 1200*0,4 = 480 (деревьев) - первый день 480:100*110 = 480*1,1 = 528 (деревьев) - второй день %3D %3D 1200 - (480 + 528) = 1200 - 1008 %3D 192 (дерева) - третий день
4,6(11 оценок)
Это интересно:
Новые ответы от MOGZ: Математика
logo
Вход Регистрация
Что ты хочешь узнать?
Спроси Mozg
Открыть лучший ответ