М
Молодежь
К
Компьютеры-и-электроника
Д
Дом-и-сад
С
Стиль-и-уход-за-собой
П
Праздники-и-традиции
Т
Транспорт
П
Путешествия
С
Семейная-жизнь
Ф
Философия-и-религия
Б
Без категории
М
Мир-работы
Х
Хобби-и-рукоделие
И
Искусство-и-развлечения
В
Взаимоотношения
З
Здоровье
К
Кулинария-и-гостеприимство
Ф
Финансы-и-бизнес
П
Питомцы-и-животные
О
Образование
О
Образование-и-коммуникации
Alish2507
Alish2507
13.06.2020 14:07 •  Математика

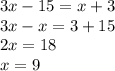
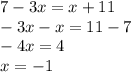
9. теңдеуді шешіңдер:
1) 3x-15=x+3;
2) 7-3х=х+11;

👇
Ответ:
Лина230502
Лина230502
13.06.2020

1) 3x-x=3+15

2x=18

x=9

2)-3x-x=11-7

-4x=4

x=-1

Пошаговое объяснение:

4,4(89 оценок)
Ответ:
sveta05011
sveta05011
13.06.2020

Пошаговое объяснение:

3x - 15 = x + 3 \\ 3x - x = 3 + 15 \\ 2x = 18 \\ x = 9

Бұл біріншісі

7 - 3x = x + 11 \\ - 3x - x = 11 - 7 \\ - 4x = 4 \\ x = - 1

Бұл екіншісі

4,4(86 оценок)
Открыть все ответы
Ответ:
969758676
969758676
13.06.2020
Sin(2x-2)=2sin(x-1)*cos(x-1)
sin2x-six2=2sin(x-1)*cos(x+1)
2sin(x-1)*cos(x-1)=2sin(x-1)*cos(x+1)
sin(x-1)*cos(x-1)-sin(x-1)*cos(x+1)=0
sin(x-1)*(cos(x-1)-cos(x+1))=0
sin(x-1)=0;    cos(x-1)-cos(x+1)=0
x-1=pi*n ;      cosx*cos1+sinx*sin1-cosx*cos1+sinx*sin1=0
x=1+pi*n;          2sinx*sin1=0
                         sinx=0
                           x=pi*k
[0; 2*pi]                      [0;2*pi]
x=1+pi*n                    x=pi*k
n=0, x=1.                     k=0, x=0
n=1, x=1+pi                  k=1, x=pi,
                                    k=2, x=2*pi
ответ: 0, 1, pi, 1+pi, 2pi, 
4,7(45 оценок)
Ответ:
gambab
gambab
13.06.2020
Першого дня моторний човен проплив 2 год за течією ріки та 1 год

проти течії, подолавши 68 км. Другого дня він проплив 3 год за течією та 2 год проти течії, подолавши 112 км. Знайди швидкість течії ріки.

В первый день моторная лодка проплыла 2 часа по течению реки и 1 час против течения, преодолев 68 км. На следующий день она проплыла 3 ч по течению и 2 часа против течения, преодолев 112 км. Найди скорость течения реки.

Формула движения: S=v*t

S - расстояние v - скорость t – время

х - собственная скорость лодки;

у - скорость течения реки;

х + у - скорость лодки по течению;

х - у - скорость лодки против течения;

По условию задачи система уравнений:

2(х + у) + 1(х - у) = 68

3(х + у) + 2(х - у) = 112

Раскрыть скобки:

2х + 2у + х - у = 68

3х + 3у + 2х - 2у = 112

Привести подобные:

3х + у = 68

5х + у = 112

Выразить у через х в обоих уравнениях:

у = 68 - 3х

у = 112 - 5х

Приравнять правые части уравнений (левые равны) и вычислить х:

68 - 3х = 112 - 5х

-3х + 5х = 112 - 68

2х = 44

х = 44/2 (деление)

х = 22 (км/час) - собственная скорость лодки;

Подставить значение х в любое из двух уравнений (где у выражен через х) и вычислить у:

у = 68 - 3х

у = 68 - 3*22

у = 68 - 66

у = 2 (км/час) - скорость течения реки;

Проверка:

22 + 2 = 24 (км/час) - скорость лодки по течению;

22 - 2 = 20 (км/час) - скорость лодки против течения;

2 * 24 + 20 = 68 (км), верно;

3 * 24 + 2 * 20 = 72 + 40 = 112 (км), верно.
4,6(77 оценок)
Новые ответы от MOGZ: Математика
logo
Вход Регистрация
Что ты хочешь узнать?
Спроси Mozg
Открыть лучший ответ