М
Молодежь
К
Компьютеры-и-электроника
Д
Дом-и-сад
С
Стиль-и-уход-за-собой
П
Праздники-и-традиции
Т
Транспорт
П
Путешествия
С
Семейная-жизнь
Ф
Философия-и-религия
Б
Без категории
М
Мир-работы
Х
Хобби-и-рукоделие
И
Искусство-и-развлечения
В
Взаимоотношения
З
Здоровье
К
Кулинария-и-гостеприимство
Ф
Финансы-и-бизнес
П
Питомцы-и-животные
О
Образование
О
Образование-и-коммуникации
rusalochka1999p08s2t
rusalochka1999p08s2t
27.07.2020 07:17 •  Математика

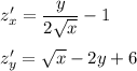
Найти частные производные первого порядка z'(x) и z'(y)

👇
Ответ:
20yanushkevich04
20yanushkevich04
27.07.2020

Пошаговое объяснение:

z_x' = \dfrac{y}{2\sqrt{x} } -1\\\\z_y'=\sqrt{x} -2y+6

4,5(56 оценок)
Открыть все ответы
Ответ:
alehalich
alehalich
27.07.2020
Для решения данного задания нужно составить уравнение. Чтобы найти процент от числа нужно это число умножить на процент и разделить на сто. Пусть площадь треугольника — х, тогда площадь квадрата — х + 0,5х = 1,5х. Зная, что площадь треугольника и квадрата равна 15 квадратным сантиметрам, составим уравнение.

х + 1,5х = 15;

2,5х = 15;

х = 15 / 2,5;

х = 6.

Вычислим площадь квадрата.

1,5 * 6 = 9 квадратных сантиметров.

Вычислим чему равна длина стороны квадрата.Площадь квадрата равна квадрату его стороны. S=a^2.

S = 9;

a = √9 = 3 сантиметра.

ответ: 3 сантиметра.
4,8(83 оценок)
Ответ:
Kolelove050
Kolelove050
27.07.2020

10.

5 • 4 : 12 = 20 : 12 , 20 = 12 • 1 + 8 следовательно понадобится 2 пиццы .

ответ : 2

11.

Заметим , что третья покупка Марии стоит 23 000 - 13 000 - 4 000 = 6 000 рублей . Из условия , что плащ и сумка вместе на 7 000 рублей дороже , чем сумка и сапоги вместе , заключим , что плащ стоит дороже сапог на 7 000 рублей . Из известных нам трёх чисел число 13 000 больше на 7 000 числа 6 000 . Значит , плащ стоил 13 000 рублей , а сапоги стоили 6 000 рублей . Значит сумка стоила 4 000 рублей .

ответ : 4 000 .

12.

Рассмотрим два случая . Если 5 вёдер накопал Максим , то по условию Наташа и Света накопали на 7 вёдер больше , т.е 5 + 7 = 12 , что невозможно , поскольку только одна Света накопала 14 вёдер . Значит , 5 вёдер накопала Наташа . Тогда Максим накопал 5 + 14 - 7 = 12 . Значит , всего накопали 5 + 14 + 12 = 31 ведро .

ответ : 31

4,8(77 оценок)
Это интересно:
Новые ответы от MOGZ: Математика
logo
Вход Регистрация
Что ты хочешь узнать?
Спроси Mozg
Открыть лучший ответ