М
Молодежь
К
Компьютеры-и-электроника
Д
Дом-и-сад
С
Стиль-и-уход-за-собой
П
Праздники-и-традиции
Т
Транспорт
П
Путешествия
С
Семейная-жизнь
Ф
Философия-и-религия
Б
Без категории
М
Мир-работы
Х
Хобби-и-рукоделие
И
Искусство-и-развлечения
В
Взаимоотношения
З
Здоровье
К
Кулинария-и-гостеприимство
Ф
Финансы-и-бизнес
П
Питомцы-и-животные
О
Образование
О
Образование-и-коммуникации
GoldenAbzud
GoldenAbzud
04.08.2020 15:35 •  Математика

1.

представьте неправильную дробь в виде смешанного числа

2.

запишите в виде неправильной дроби числа

3.

решите уравнение:

4.

найдите все натуральные значения x, которые удовлетворяют неравенству:

👇
Ответ:
Oremi
Oremi
04.08.2020

1)\; \; \frac{31}{6}=\frac{30+1}{6}=\frac{30}{6}+\frac{1}{6}=5\frac{1}{6}\\\\\frac{127}{14}=\frac{126+1}{14}=9\frac{1}{14}\\\\2)\; \;2\frac{1}{7}=\frac{2\cdot 7+1}{7}=\frac{15}{7}\\\\14\frac{3}{4}=\frac{14\cdot 4+3}{4}=\frac{59}{4}\\\\13=\frac{13}{1}

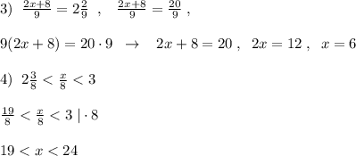
3)\; \; \frac{2x+8}{9}=2\frac{2}{9}\; \; ,\; \; \; \frac{2x+8}{9}=\frac{20}{9}\; ,\\\\9(2x+8)=20\cdot 9\; \; \to \; \; \; 2x+8=20\; ,\; \; 2x=12\; ,\; \; x=6\\\\4)\; \; 2\frac{3}{8}

Неравенству удовлетворяют такие натуральные числа:  20 , 21 , 22 , 23 .

4,5(47 оценок)
Открыть все ответы
Ответ:
дима2872
дима2872
04.08.2020

Так как скорость Томми (240 м/мин) в 3 раза больше скорости Анники (80 м/мин), то и времени на то, чтобы пробежать расстояние от магазина до дома, он затратит в 3 раза меньше. То есть первым домой прибежит Томми.

Томми добежал до дома за время t₁ = 3 минуты со скоростью v₁ = 240 м/мин.

Тогда расстояние от магазина до дома: S = v₁t₁ = 240 * 3 = 720 (м)

Анника бежит со скоростью v₂ = 80 м/мин. Тогда ей понадобится времени на то, чтобы добежать из магазина до дома:

t₂ = S/v₂ = 720 : 80 = 9 (мин)

ответ: раньше дома оказался Томми. Анника добежит от магазина до дома за 9 мин, то есть она окажется дома через 6 минут после Томми.

4,6(68 оценок)
Ответ:
dendeniska228
dendeniska228
04.08.2020

Пошаговое объяснение:

В основном используется табличный интеграл от степенной функции, да ещё от синуса.

\int\limits {x^n} \, dx =  \frac{1}{n+1} x^{n+1} +C \\  \\  \int\limits {sinx} \, dx = -cosx + C

1а. f(x)=2-x

\int\limits {(2-x)} \, dx = 2* \frac{1}{0+1} x^{0+1} - \frac{1}{1+1}x^{1+1} + C = 2x - \frac{1}{2} x^2 +C

2б. f(x)=x^4 - sin x

\int\limits {(x^4 - sin x)} \, dx =  \frac{1}{4+1}x^{4+1} -(-cosx) +C =  \frac{1}{5}  x^5+ cosx +C

2в. f(x)= 2/ x^3

\int\limits { \frac{2}{x^3} } \, dx = \int\limits { 2x^{-3} \, dx = 2* \frac{1}{-3+1} x^{-3+1} + C = -x^{-2} + C = - \frac{1}{x^2} + C

4,8(40 оценок)
Это интересно:
Новые ответы от MOGZ: Математика
logo
Вход Регистрация
Что ты хочешь узнать?
Спроси Mozg
Открыть лучший ответ