М
Молодежь
К
Компьютеры-и-электроника
Д
Дом-и-сад
С
Стиль-и-уход-за-собой
П
Праздники-и-традиции
Т
Транспорт
П
Путешествия
С
Семейная-жизнь
Ф
Философия-и-религия
Б
Без категории
М
Мир-работы
Х
Хобби-и-рукоделие
И
Искусство-и-развлечения
В
Взаимоотношения
З
Здоровье
К
Кулинария-и-гостеприимство
Ф
Финансы-и-бизнес
П
Питомцы-и-животные
О
Образование
О
Образование-и-коммуникации
tanyaosipova01
tanyaosipova01
20.06.2022 04:25 •  Математика

Решение. Как изменится площадь квадрата если его сторону уменьшить в 10 раз

👇
Ответ:
Ansora12
Ansora12
20.06.2022

Уменьшится в 100 раз.

Пошаговое объяснение:

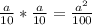
Обозначим сторону начального квадрата а. Его площадь равна a².

Тогда сторона получившегося квадрата - \frac{a}{10}. Его площадь равна \frac{a}{10}*\frac{a}{10}=\frac{a^{2}}{100}, то есть в 100 раз меньше.

4,5(80 оценок)
Открыть все ответы
Ответ:
liubovbalan
liubovbalan
20.06.2022

Пошаговое объяснение:

Каждый великий путешественник обязательно должен побывать у стен великих Афин, столицы плодородной Греции. И я тому не исключение. Уже подплывая к берегам Афин, можно увидеть множество кораблей. Это порт Пирей. Отсюда и начинается моё путешествие по Греции. Каких только товаров здесь нет, товары из Египта и Африки и других причерноморских стран. Папирус, лен, слоновая кость, разнообразные ароматы отовсюду. В центре Афин, моему взору предстал многолюдный рынок. Утром здесь было шумно. Далее я вышел на площадь под названием Агора. Больше всего меня удивил Акрополь, на котором находился храм богини Афины Парфенон, символ и гордость Афин. На вершине величественно возвышалась статуя богини Афины, работа великого скульптора Фидия. Здесь же можно было увидеть храм богини победы Ники. Наглядевшись вдоволь, я решил отправиться в район Керамик, ведь Греция славилась своими мастерами. Здесь жили живописцы, искусные гончары и прочие мастера. Улочки были узкие, а стены домов невысокие и глухие. Жизнь здесь кипела, мастера творили около своих домов на улице, а горожане выливали прям на дорогу. Но творения местных творцов не дали испортить впечатление об этом районе города. Жителям Афин было чем гордиться и что показать многочисленным гостям их города!

4,4(89 оценок)
Ответ:
alinaalin2208
alinaalin2208
20.06.2022

К 1 примеру 1). 70-58=12

2). 32+68=100

3).12•100=1200

4). 1200-90=1110  

К 3 примеру 40*(16+14)-350:50 = ?

1) В скобках

16 + 14 = 30

2) Умножение (умножение или деление)

40 * 30 = 1200

3) Деление (умножение или деление)

350 / 50 = 7

4) Вычитание (сложение или вычитание)

1200 - 7 = 1193

ответ: 1193.

Ко второму примеру Действие первое.

Выясним какой будет получен результат после того, как число 15 будет умножено на число 10:

15 * 10 = 150.

Действие второе.

Выясним каков будет получен результат после того, как число 15 будет умножено на число 20:

15 * 20 = 300.

Действие третье.

Выясним каков будет получен результат после сложения чисел, которые были найдены нами в предыдущих действиях:

150 + 300 = 450.

Действие четвертое.

Выясним каков будет получен результат после из 600 найденного в третьем действии числа:

600 - 450 = 150.

ответ: 150.

Пошаговое объяснение:

4,5(87 оценок)
Это интересно:
Новые ответы от MOGZ: Математика
logo
Вход Регистрация
Что ты хочешь узнать?
Спроси Mozg
Открыть лучший ответ