М
Молодежь
К
Компьютеры-и-электроника
Д
Дом-и-сад
С
Стиль-и-уход-за-собой
П
Праздники-и-традиции
Т
Транспорт
П
Путешествия
С
Семейная-жизнь
Ф
Философия-и-религия
Б
Без категории
М
Мир-работы
Х
Хобби-и-рукоделие
И
Искусство-и-развлечения
В
Взаимоотношения
З
Здоровье
К
Кулинария-и-гостеприимство
Ф
Финансы-и-бизнес
П
Питомцы-и-животные
О
Образование
О
Образование-и-коммуникации
Janiya1404
Janiya1404
22.11.2021 17:09 •  Математика

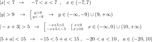
|х|<7; |у|>9; |-х+3|>5
|5+а

👇
Ответ:
magdigadjiev
magdigadjiev
22.11.2021

|x|5} \atop {-x+5

\star \; \; |x|

4,7(51 оценок)
Открыть все ответы
Ответ:
alinakozina879
alinakozina879
22.11.2021
1) 10=2*5     12=2*2*3     15=3*5      НОК = 2*2*3*5 = 60
60 : 10 = 6 - доп.множ. к 3/10 = (3*6)/(10*6) = 18/60
60 : 12 = 5 - доп.множ. к 5/12 = (5*5)/(12*5) = 25/60
60 : 15 = 4 - доп.множ. к 11/15 = (11*4)/(15*4) = 44/60
ответ: 3/10; 5/12; 11/15 = 18/60; 25/60; 44/60.

2) 18=2*3*3     12=2*2*3     16=2*2*2*2     НОК = 16*3*3 = 144
144 : 18 = 8 - доп.множ. к 1/18 = (1*8)/(18*8) = 8/144
144 : 12 = 12 - доп.множ. к 5/12 = (5*12)/(12*12) = 60/144
144 : 16 = 9 - доп.множ. к 3/16 = (3*9)/(16*9) = 27/144
ответ: 1/18; 5/12; 3/16 = 8/144; 60/144; 27/144.

3) 16=2*2*2*2     24=2*2*2*3     30=2*3*5     НОК = 16*3*5 = 240
240 : 16 = 15 - доп.множ. к 11/16 = (11*15)/(16*15) = 165/240
240 : 24 = 10 - доп.множ. к 17/24 = (17*10)/(24*10) = 170/240
240 : 30 = 8 - доп.множ. к 19/30 = (19*8)/(30*8) = 152/240
ответ: 11/16; 17/24; 19/30 = 165/240; 170/240; 152/240.

4) 15=3*5     20=2*2*5     25=5*5     НОК = 2*2*3*5*5 = 300
300 : 15 = 20 - доп.множ. к 13/15 = (13*20)/(15*20) = 260/300
300 : 20 = 15 - доп.множ. к 9/20 = (9*15)/(20*15) = 135/300
300 : 25 = 12 - доп.множ. к 24/25 = (24*12)/(25*12) = 288/300
ответ: 13/15; 9/20; 24/25 = 260/300; 135/300; 288/300.
4,6(30 оценок)
Ответ:
aska13aska
aska13aska
22.11.2021
Решение о выборе столицы Олимпийских Игр-1980 Международный олимпийский комитет принимал на 75-й сессии 23 октября 1974 года в Вене.Игры известны тем, что более 50 стран бойкотировали Олимпиаду в связи с вводом в 1979 году советских войск в Афганистан. Некоторые спортсмены из стран, бойкотировавших Игры, всё же приехали в Москву и выступали под олимпийским флагом[6]. Этот бойкот стал одной из основных причин ответного бойкота Советским Союзом и рядом его союзников следующих летних Олимпийских игр в Лос-Анджелесе в 1984 году.
4,6(12 оценок)
Новые ответы от MOGZ: Математика
logo
Вход Регистрация
Что ты хочешь узнать?
Спроси Mozg
Открыть лучший ответ