М
Молодежь
К
Компьютеры-и-электроника
Д
Дом-и-сад
С
Стиль-и-уход-за-собой
П
Праздники-и-традиции
Т
Транспорт
П
Путешествия
С
Семейная-жизнь
Ф
Философия-и-религия
Б
Без категории
М
Мир-работы
Х
Хобби-и-рукоделие
И
Искусство-и-развлечения
В
Взаимоотношения
З
Здоровье
К
Кулинария-и-гостеприимство
Ф
Финансы-и-бизнес
П
Питомцы-и-животные
О
Образование
О
Образование-и-коммуникации

Вдруг кто-то не знает:
"якщо" - это "если"

Буду очень благодарна за ответ))

👇
Ответ:
sveta05011
sveta05011
20.03.2022

Пошаговое объяснение:

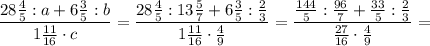
\displaystyle \[\frac{{28\frac{4}{5}:a+6\frac{3}{5}:b}}{{1\frac{{11}}{{16}} \cdot c}}=\frac{{28\frac{4}{5}:13\frac{5}{7}+6\frac{3}{5}:\frac{2}{3}}}{{1\frac{{11}}{{16}}\cdot \frac{4}{9}}}=\frac{{\frac{{144}}{5}:\frac{{96}}{7}+\frac{{33}}{5}:\frac{2}{3}}}{{\frac{{27}}{{16}} \cdot \frac{4}{9}}}=\]

\displaystyle \[\frac{{\frac{{144}}{5} \cdot \frac{7}{{96}}+\frac{{33}}{5}\cdot \frac{3}{2}}}{{\frac{{27}}{{16}} \cdot \frac{4}{9}}}=\frac{{\frac{{21}}{{10}}+\frac{{99}}{{10}}}}{{\frac{3}{4}}} =\frac{{\frac{{120}}{{10}}}}{{\frac{3}{4}}}=\frac{{12}}{{\frac{3}{4}}}=12\cdot \frac{4}{3}=\boxed{16}\]

4,7(86 оценок)
Открыть все ответы
Ответ:

Лось
Травоядное животное, обитающее около воды. Питается растительностью на мелководье рек и озер. При появлении хищника лось ищет прямо в воде. Он в состоянии проплыть много километров. Волк
В великих канадских лесах живет и охотится множество волчьих стай. Волки не любят одиночества, более того, они развили сложную технику групповой охоты, что свидетельствует об их уме и к обучению.Олень
Самка оленя меньше самца и лишена рогов. Летом цвет ее шерсти имеет слегка красноватый оттенок, а зимой становится более темным. Обычно круп животного несколько светлее.

4,6(62 оценок)
Ответ:
оеькллал
оеькллал
20.03.2022
Богат и разнообразен животный мир лесов. Здесь живут разные звери, птицы, насекомые.

Животные в лесу находят разную пищу: траву, листья деревьев, молодые побеги, семена, ягоды, грибы. Им легко укрыться от врагов, построить незаметные жилища, птицам легко 

свить гнёзда. Животные обитают всюду: на поверхности почвы и в почве, на ветвях деревьев и под корой.

На время зимней бескормицы одни животные делают запасы пищи (например, белки, бурундуки, кедровки), другие впадают в зимний сон (медведи) или в спячку (бурундуки). Густой подшерсток, плотное оперение, а также подкожный жир животным лесной полосы переносить сильные зимние морозы. Во многих лесах можно встретить большого тёмно-бурого великана — лося. Его рост достигает двух метров. Он легко преодолевает густые чащобы, болотные топи и глубокие снега. Питается зверь травой, листьями, молодыми побегами деревьев и кустарников, грибами, ягодами. Труднее ему находить пищу зимой, тогда он ест хвою и кору деревьев, ищет старую засохшую траву. В это время человек приходит ему на подкармливает сеном, зерном, различными отходами сельского хозяйства. Человек приручает лося и использует для перевозки грузов по лесным дорогам. Молоко лося лечебное, жирнее коровьего. Лось находится под охраной человека.
4,5(74 оценок)
Новые ответы от MOGZ: Математика
logo
Вход Регистрация
Что ты хочешь узнать?
Спроси Mozg
Открыть лучший ответ