М
Молодежь
К
Компьютеры-и-электроника
Д
Дом-и-сад
С
Стиль-и-уход-за-собой
П
Праздники-и-традиции
Т
Транспорт
П
Путешествия
С
Семейная-жизнь
Ф
Философия-и-религия
Б
Без категории
М
Мир-работы
Х
Хобби-и-рукоделие
И
Искусство-и-развлечения
В
Взаимоотношения
З
Здоровье
К
Кулинария-и-гостеприимство
Ф
Финансы-и-бизнес
П
Питомцы-и-животные
О
Образование
О
Образование-и-коммуникации
Deni05
Deni05
28.01.2023 00:33 •  Математика

Logo,2 (2x - 3)+ logo,2 7 = logo,2 28.​

👇
Ответ:
Лизончик111
Лизончик111
28.01.2023

3,5

Пошаговое объяснение:

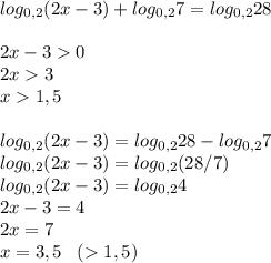
log_{0,2}(2x-3)+log_{0,2}7=log_{0,2}28\\\\2x-30\\2x3\\x1,5\\\\log_{0,2}(2x-3)=log_{0,2}28-log_{0,2}7\\log_{0,2}(2x-3)=log_{0,2}(28/7)\\log_{0,2}(2x-3)=log_{0,2}4\\2x-3=4\\2x=7\\x=3,5\;\;\;(1,5)

4,4(34 оценок)
Открыть все ответы
Ответ:
SophiaB
SophiaB
28.01.2023
1) 203 * 69 = 14007
45034 / 89 = 506
14007 - 506 = 13501
ответ: произведение чисел 203 и 69 больше частного чисел 45034 и 89 на 13501.

2)13471 + 4596 = 18067
348 - 259 = 89
18067 / 89 = 203
ответ: сумма чисел 13471 и 4596 больше разности чисел 348 и 259 в 203 раза.

3)98 - 21 = 77 (см) - сумма сторон АВ и ВС
140 - 77 = 63 (см) - сторона АС
140 - 98 = 42 (см) - сторона ВС
63 + 42 = 105 (см) - сумма сторон АС и ВС
140 - 105 = 35 (см) - сторона АВ
ответ: сторона АВ - 35 см, сторона ВС - 42 см, сторона АС - 63 см.

4)х - 45 - 27 = х - ( 45 - 27 ) = х - 18
( 16 - у ) + 14 = 14 + 16 - у = 30 - у
44х + 26у + 15х - 17у = ( 44 + 15 )х + ( 26 - 17 )у = 59х + 9у
421 * 457 + 543 * 421 = ( 457 + 543 ) * 421 = 1000 * 421
4,6(55 оценок)
Ответ:
hamidullinranis
hamidullinranis
28.01.2023
Биография

Происходил из дворянского родаДмитриевых, которые были потомками смоленских князей. Родился 10 (21) сентября 1760 в имении отца Ивана Гавриловича Дмитриева (1736—1818) — селе Богородском (теперь Троицкое) Казанской (позднее Симбирской) губернии. Его мать Екатерина Афанасьевна (1737—1813) принадлежала по рождению к богатому роду Бекетовых[5]. Получила домашнее образование, несколько лет обучалась в частном пансионе Ф. Ф. Кабрита вСимбирске.

Восстание Пугачёва вынудило семью Дмитриева переехать вМоскву. В 1772 был записан солдатом в лейб-гвардии Семёновский полк. В мае 1774 был привезен отцом в Петербург, окончил полковую школу, с 1776 — унтер-офицер, с 1778 — сержант.

Под влиянием журналистаНиколая Новикова начал в 1777 писать стихи, большей частью сатирического характера; автор их впоследствии уничтожил. Впервые был опубликован в том же году в журнале Новикова «Санкт-Петербургские учёные ведомости», где было напечатано стихотворение «Надпись к портрету князя А. Д. Кантемира» с пожеланием успехов юному поэту. Ориентиром для Дмитриева служили стихи Ломоносова,Сумарокова, Хераскова. Дмитриев основательно ознакомился с произведениями лучших писателей французской литературы, а также и с римскими и греческими классиками во французских переводах.

В 1783 году состоялось знакомство с Николаем Карамзиным, дальним родственником Дмитриева. Под его влиянием Дмитриев обратился к книгам французских просветителей. В Карамзине Дмитриев нашёл не только друга, но и руководителя в литературных занятиях, советам и указаниям которого безусловно подчинялся.

В 1787 произведен в прапорщики, в июле 1788, в связи с началомрусско-шведской войны 1788—1790 отправился с полком в поход к границе Финляндии. В боевых действиях не участвовал и в конце года вернулся в Петербург.

В 1790 сблизился с Державиным, знакомство с которым, по словам Дмитриева, «открыло ему путь к Парнасу»; в доме Державина он познакомился со многими писателями и поэтами .
4,4(20 оценок)
Это интересно:
Новые ответы от MOGZ: Математика
logo
Вход Регистрация
Что ты хочешь узнать?
Спроси Mozg
Открыть лучший ответ