М
Молодежь
К
Компьютеры-и-электроника
Д
Дом-и-сад
С
Стиль-и-уход-за-собой
П
Праздники-и-традиции
Т
Транспорт
П
Путешествия
С
Семейная-жизнь
Ф
Философия-и-религия
Б
Без категории
М
Мир-работы
Х
Хобби-и-рукоделие
И
Искусство-и-развлечения
В
Взаимоотношения
З
Здоровье
К
Кулинария-и-гостеприимство
Ф
Финансы-и-бизнес
П
Питомцы-и-животные
О
Образование
О
Образование-и-коммуникации
Yutik
Yutik
12.03.2023 18:44 •  Математика

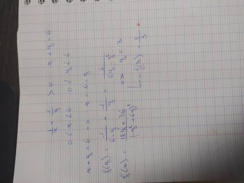
Найдите наименьшее значение суммы 1 / X + 1 / Y если переменные X и Y - положительные числа и Икс плюс игрек равно 6​

👇
Ответ:
SkrepllexNormaN
SkrepllexNormaN
12.03.2023

ответ: 2/3

Пошаговое объяснение:


Найдите наименьшее значение суммы 1 / X + 1 / Y если переменные X и Y - положительные числа и Икс пл
4,6(67 оценок)
Открыть все ответы
Ответ:
bgs6544
bgs6544
12.03.2023

Сразу говорю этот алгоритм решения я придумал сам, в книгах его нет. Результат правильный, но ход решения может не устроить.

 

Узнаем сколько работы еще осталось выполнить, всю рабботу принимаем за единицу и отнимаем уже выполненую:

 

1-4/9=5/9 - осталось выполнить.

 

Теперь узнаем коэфициен деления для уже выполненой рабботы, для того чтоб задействовать его в следующем действии:

 

(8*6)/х=4/9

48/х=4/9

х=108 - коэфициент

 

(5х)/108=5/9

9*5х=108*5

45х=540

х=12

 

12-8=4 человека

 

Бригаду нужно увеличить на 4 человека.

 

4,4(27 оценок)
Ответ:
Summer2006
Summer2006
12.03.2023

(1 час = 60 мин)

(1 мин = 60 сек)

2ч 40 мин - 1ч = 1ч 40 мин

Переводим в минуты

2ч = 120 мин

Тоесть 120 мин + 40 мин = 160 мин

160 мин - 60 мин = 100 мин

100 мин = 1 ч 40 мин

5ч 20 мин - 30 мин = 4ч 50 мин

Переводим в минуты

5ч = 300 мин

Тоесть 300 мин + 20 мин = 320 мин

320 мин - 30 мин = 290 мин

290 мин = 4 ч 50 мин

1 мин 15 сек - 8 сек = 1 мин 7 сек

Переводим в секунды

1 мин = 60 сек

Тоесть 60 сек + 15 сек = 75 сек

75 сек - 8 сек = 67 сек

67 сек = 1 мин 7 сек

1 мин 10 сек - 40 сек = 30 сек

Переводим в секунды

1 мин = 60 сек

Тоесть 60 сек + 10 сек = 70 сек

70 сек - 40 сек = 30 сек

30 сек = 30 сек

Пошаговое объяснение:

Надеюсь

4,6(80 оценок)
Это интересно:
logo
Вход Регистрация
Что ты хочешь узнать?
Спроси Mozg
Открыть лучший ответ