М
Молодежь
К
Компьютеры-и-электроника
Д
Дом-и-сад
С
Стиль-и-уход-за-собой
П
Праздники-и-традиции
Т
Транспорт
П
Путешествия
С
Семейная-жизнь
Ф
Философия-и-религия
Б
Без категории
М
Мир-работы
Х
Хобби-и-рукоделие
И
Искусство-и-развлечения
В
Взаимоотношения
З
Здоровье
К
Кулинария-и-гостеприимство
Ф
Финансы-и-бизнес
П
Питомцы-и-животные
О
Образование
О
Образование-и-коммуникации
shivaco
shivaco
01.10.2020 09:18 •  Математика

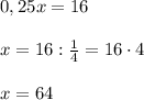
От проволоки отрезали 1/4 часть 16 м Чему равна длина всей проволоки​

👇
Ответ:

64 метра

Пошаговое объяснение:

0,25x = 16\\\\x = 16 : \frac{1}{4} = 16 \cdot 4\\\\x = 64

4,6(59 оценок)
Открыть все ответы
Ответ:
Kristinapermya
Kristinapermya
01.10.2020
1) 15•4723=70845 (руб.) - на эту сумму продали 15 пар лыж за первую неделю.
2) 15•3710=55650 (руб.) - себестоимость 15 пар лыж.
3) 70845-55650=15195 (руб.) - прибыль магазина от продажи лыж за первую неделю.
4) 15+13=28 (пар) - лыж продали за вторую неделю.
5) 4723-300=4423 (руб.) - стоимость 1 пары лыж после снижения цены на 300 руб.
6) 28•4423=123844 (руб.) - на эту сумму продали 28 пар лыж за вторую неделю.
7) 28•3710=103880 (руб.) - себестоимость 28 пар лыж.
8) 123844-103880=19964 (руб.) - прибыль магазина от продажи лыж за вторую неделю.
9) 19964-15195=4769 (руб.) - на столько увеличилась прибыль магазина за вторую неделю, по сравнению с первой.

ответ: 1. прибыль за первую неделю - 15195 руб.;
2. прибыль за вторую неделю - 19964 руб.;
3. прибыль увеличилась на 4769 руб.
4,6(26 оценок)
Ответ:

1. Систему судов общей юрисдикции в Российской Федерации составляют федеральные суды общей юрисдикции и суды общей юрисдикции субъектов Российской Федерации.

""2. К федеральным судам общей юрисдикции относятся:

1) кассационные суды общей юрисдикции;

2) апелляционные суды общей юрисдикции;

""3) верховные суды республик, краевые, областные суды, суды городов федерального значения, суд автономной области, суды автономных округов;

4) районные суды, городские суды, межрайонные суды (далее - районные суды);

5) военные суды, полномочия, порядок образования и деятельности которых устанавливаются федеральным конституционным законом;

6) специализированные суды, полномочия, порядок образования и деятельности которых устанавливаются федеральным конституционным законом.

4,4(17 оценок)
Новые ответы от MOGZ: Математика
logo
Вход Регистрация
Что ты хочешь узнать?
Спроси Mozg
Открыть лучший ответ