М
Молодежь
К
Компьютеры-и-электроника
Д
Дом-и-сад
С
Стиль-и-уход-за-собой
П
Праздники-и-традиции
Т
Транспорт
П
Путешествия
С
Семейная-жизнь
Ф
Философия-и-религия
Б
Без категории
М
Мир-работы
Х
Хобби-и-рукоделие
И
Искусство-и-развлечения
В
Взаимоотношения
З
Здоровье
К
Кулинария-и-гостеприимство
Ф
Финансы-и-бизнес
П
Питомцы-и-животные
О
Образование
О
Образование-и-коммуникации
Соня2017000
Соня2017000
10.12.2022 00:25 •  Математика

ВЕЛИКИЕ МАТЕМАТИКИ!!(кто может мне с этим ( и желательно объяснить принцип )

П.С тому кто

👇
Ответ:
qwerty1352
qwerty1352
10.12.2022

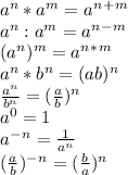
a^n*a^m=a^n^+^m\\a^n:a^m=a^n^-^m\\(a^n)^m=a^n^*^m\\a^n*b^n=(ab)^n\\\frac{a^n}{b^n}=(\frac{a}{b})^n\\a^0=1\\a^-^n=\frac{1}{a^n}\\(\frac{a}{b})^-^n=(\frac{b}{a})^n

Пошаговое объяснение:

4,4(31 оценок)
Открыть все ответы
Ответ:
ека29
ека29
10.12.2022

                                                                                                                              /                   \                                                                                                                                     /     /   \                                                                                                                                                         /_//

4,4(96 оценок)
Ответ:
KarinaKostolevskaya
KarinaKostolevskaya
10.12.2022

а за окном, бушует ветер, об стекла, бьется снова дождь,

и ни кто и не заметит,

как ты, тихонечко уйдешь

уйдешь ни сказав ни слова,

уйдешь, на все закрыв глаза,

и сердце заперев в оковы,

от боли, скатится слеза

уйдешь и жизнь начнешь сначала,

и нет пути уже назад,

и лишь холодными ночами,

ты будешь молча вспоминать

о тех, кто даже не ценил,

и вытирал, об тебя ноги,

про тех, кого всю жизнь любил,

и жертвовал для них ты многим

уйдешь бесследно, безвозвратно,

бесшумно опустив глаза,

а на щеке, все так же беспощадно,

блестит, предательски

4,8(34 оценок)
Новые ответы от MOGZ: Математика
logo
Вход Регистрация
Что ты хочешь узнать?
Спроси Mozg
Открыть лучший ответ