М
Молодежь
К
Компьютеры-и-электроника
Д
Дом-и-сад
С
Стиль-и-уход-за-собой
П
Праздники-и-традиции
Т
Транспорт
П
Путешествия
С
Семейная-жизнь
Ф
Философия-и-религия
Б
Без категории
М
Мир-работы
Х
Хобби-и-рукоделие
И
Искусство-и-развлечения
В
Взаимоотношения
З
Здоровье
К
Кулинария-и-гостеприимство
Ф
Финансы-и-бизнес
П
Питомцы-и-животные
О
Образование
О
Образование-и-коммуникации
sashkaveber
sashkaveber
22.10.2020 21:55 •  Математика

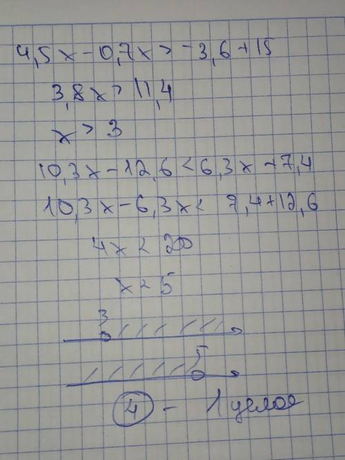
4. Найдите целые решения системы:
( 4,5х – 15 > 0,7x – 3,6
l 10,3х – 12,6 < 6,3х +7,4​

👇
Ответ:
Свєтлана1
Свєтлана1
22.10.2020

Пошаговое объяснение:

...........................


4. Найдите целые решения системы:( 4,5х – 15 > 0,7x – 3,6l 10,3х – 12,6 < 6,3х +7,4​
4,7(2 оценок)
Ответ:
yourloneliness
yourloneliness
22.10.2020

ответ: В конце всё изобразила на координатной прямой

Пошаговое объяснение:

Всё на фото


4. Найдите целые решения системы:( 4,5х – 15 > 0,7x – 3,6l 10,3х – 12,6 < 6,3х +7,4​
4,5(61 оценок)
Открыть все ответы
Ответ:
asvazy123
asvazy123
22.10.2020
1) 2*1,4 +1,2 *0,8 =3,76 , задание 2 ) 900 /100 = 9 - 1 % , 35 *9 =315, задание 3 ) решение 14,5/2,5 = 5,8 ( см) - ширина  задание 4 )  V по течению 12 -3,7 =8,3 ( км/ч) , а по течению 12 + 3,7 = 15, 7 ( км /ч)    , задание 5 , 1 ) -(0,25 +х) =1,47  - 4,2 , 2) -х = -2,73 + 0,25 ,  -х=2,48 , х =2,48 ответ х =2, 48 задание  6  ,1) 13,1-1.72 =11,38 2) 0,351 /2,4 = 0.14625 , 3)3,05*11,38 =34.709, 4 ) 0.14625 +34, 709 =3485525  задание 7  решение 120 -100% , 120 /100 =1.2 -1 процент , вишни - 100-(50+20) =30 %, 1.2 *30 =36 . ответ 36 вишен в саду 
4,5(8 оценок)
Ответ:
dilyaramazhitova
dilyaramazhitova
22.10.2020
Нецензурная лексика, конечно, негативно отзывается на душевном самочувствии человека. В первую очередь, портится настроение, мир видится серым и в какой-то степени прогнившим. Плохое настроение, в свою очередь, плохо влияет на нервную систему, соответственно, и на здоровье человека.
Так же мозг человека заполняется неполезной информацией, состоящей из набора нецензерных слов, таким образом, словарный запас человека сокращается, он не может выражаться грамотно и красиво.
Нецензурные слова превращаются в слова-паразиты и входят в обиход употребления. От них потом очень трудно избавиться, хотя в принципе они и не нужны для использования.
4,7(18 оценок)
Новые ответы от MOGZ: Математика
logo
Вход Регистрация
Что ты хочешь узнать?
Спроси Mozg
Открыть лучший ответ