М
Молодежь
К
Компьютеры-и-электроника
Д
Дом-и-сад
С
Стиль-и-уход-за-собой
П
Праздники-и-традиции
Т
Транспорт
П
Путешествия
С
Семейная-жизнь
Ф
Философия-и-религия
Б
Без категории
М
Мир-работы
Х
Хобби-и-рукоделие
И
Искусство-и-развлечения
В
Взаимоотношения
З
Здоровье
К
Кулинария-и-гостеприимство
Ф
Финансы-и-бизнес
П
Питомцы-и-животные
О
Образование
О
Образование-и-коммуникации
stasshishakozo53x
stasshishakozo53x
21.02.2021 05:08 •  Математика

Решите и объсните, если можно

👇
Ответ:
Zhenyarishka1
Zhenyarishka1
21.02.2021

ответ: Применяем формулу, обратную разности квадратов.

Разложить на множители.


Решите и объсните, если можно
4,6(84 оценок)
Ответ:
Vitaminka123456789
Vitaminka123456789
21.02.2021

Пошаговое объяснение:

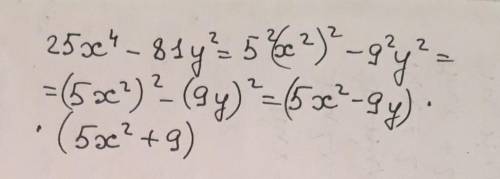
25х^4- 81 у^2

То есть нужно разложить на множители по формуле получится:

(5х^2-9у)*(5х^2+9у)

4,7(38 оценок)
Открыть все ответы
Ответ:
ress1133
ress1133
21.02.2021

ответ:Йти за мрією - це надзвичайно важливий і особистий крок в житті. Це означає прагнути досягнути своїх цілей і здійснити те, що ви справді хочете. Але чи варто забувати себе в процесі цього шляху?Моє особисте бачення полягає в тому, що необхідно знайти баланс між прагненнями та самозбереженням. Намагатися досягти мрії може вимагати жертв і зусиль, але важливо пам'ятати, що ви також маєте дбати про своє фізичне та емоційне благополуччя.Забувати себе може призвести до втрати внутрішньої рівноваги, втрати здоров'я або втрати зв'язку зі своїми цінностями. Важливо знайти час для самоаналізу, відпочинку та догляду за собою, навіть якщо ви працюєте над власними мріями. Зберігаючи зв'язок з собою, ви зможете зберегти свою ідентичність, що є важливим для особистого розвитку та щастя.Таким чином, моїм роздумом є те, що ви не повинні забувати себе, йдучи за мрією. Навпаки, вам слід зберігати баланс і навчитися поєднувати свої амбіції зі здоровим життя та саморозвитком. Ваша мрія буде досягнута найкращим чином, якщо ви будете цінувати і дбати про себе в процесі її досягнення.

Пошаговое объяснение:

4,8(98 оценок)
Ответ:
artikiv2006
artikiv2006
21.02.2021

Чи варто забувати себе йдучи за своєю мрією?

Коли зірка моїх мрій засіяла яскравіше за будь-яку іншу на небосхилі, я відчувала, як зсуваються межі моїх можливостей. Мрія, давно зароджена в серці, навіяна натхненням і непохитним вірою, привела мене на цей шлях – шлях до втілення себе.

Але чи варто було забувати про себе, коли крокую до своєї мети? Чи варто пожертвувати власним щастям і самореалізацією на алтарі успіху? Це питання виникало в моїй думці, як спалах блискавки серед безхмарного неба. І відповідь моя була проста – ні, не варто.

Мрія може виглядати як самотнє світло у темряві, але це не означає, що навколо нього повинно бути темно. Часом ми заглиблюємося в погоню за успіхом, втрачаючи зв'язок з самих собою. Але справжнє щастя і досягнення приходять, коли ми знаходимо гармонію між нашими мріями і власною особистістю.

Тому, йдучи до своєї мрії, я оберігала себе від забуття. Я згадувала, що мої досягнення не повинні стати моєю єдиною ідентичністю. Я витрачала час на те, щоб бути з родиною і друзями, насолоджуватися простими радощами життя і навколишнім світом.

4,6(25 оценок)
Это интересно:
Новые ответы от MOGZ: Математика
logo
Вход Регистрация
Что ты хочешь узнать?
Спроси Mozg
Открыть лучший ответ