ответ: Смотреть на фото.
Объяснение:
Перед нами самая обычная линейная функция (то бишь функция, чей график - обычная прямая линия). Что нужно сделать, чтобы нарисовать график функции? Надо просто подставить какое-то число вместо х и, решив пример, найти у. Я сделал так:
1. Подставил вместо х ноль (х = 0), получается:
у = 4 * 0 + 2 = 0 + 2 = 2
Получили точку (0;2)
2. Подставил вместо х минус один (х = -1), получается:
у = 4 * (-1) + 2 = -4 + 2 = -2
Получили точку (-1;-2)
3. Подставил вместо х один (х = 1), получается:
у = 4 * 1 + 2 = 4 + 2 = 6
Получили точку (1;6)
А теперь просто ставим эти точки на графике и проводим через них линию. График готов!
Если есть вопросы - задавай)
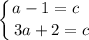
Если данная прямая проходит через точки
и
, то получим систему уравнений:
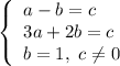
Помимо этого, через точку
прямая тоже должна пройти — точка пересечения прямой с осью ординат. Таким образом, получили систему трех уравнений:
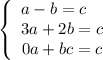
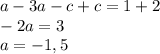
Вычтем из первого уравнения второе уравнение:
Тогда
Получили уравнение прямой
Так как по условию
и
— целые числа, домножим получившееся уравнение на 2:
ответ: