М
Молодежь
К
Компьютеры-и-электроника
Д
Дом-и-сад
С
Стиль-и-уход-за-собой
П
Праздники-и-традиции
Т
Транспорт
П
Путешествия
С
Семейная-жизнь
Ф
Философия-и-религия
Б
Без категории
М
Мир-работы
Х
Хобби-и-рукоделие
И
Искусство-и-развлечения
В
Взаимоотношения
З
Здоровье
К
Кулинария-и-гостеприимство
Ф
Финансы-и-бизнес
П
Питомцы-и-животные
О
Образование
О
Образование-и-коммуникации

1)Оле 10 лет. Её возраст составляет 5/16 возраста папы. Папин возраст составляет 8/17 возраста дедушки. На сколько лет дедушка старше папы?

2) В первый день паломники намеченного пути, после чего им осталось пройти ещё 36 км. Какова длинна всего намеченного маршрута

👇
Ответ:
brain67
brain67
27.05.2021

Пошаговое объяснение:

1)

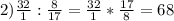
1)\frac{10}{1} :\frac{5}{16} =\frac{10}{1} *\frac{16}{5} =32 года - возраст отца

2)\frac{32}{1} :\frac{8}{17} =\frac{32}{1}*\frac{17}{8} =68 лет  - возраст дедушки

3)68-32=36 лет  - разница в возрасте между отцом и дедушкой.

ответ: на 36 лет

2)

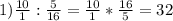
x=\frac{5}{9}x+36

x-\frac{5}{9} x=36

\frac{4}{9} x=36

x=36:\frac{4}{9} =\frac{36}{1} *\frac{9}{4} =81

ответ:81 км

4,5(65 оценок)
Открыть все ответы
Ответ:
ЮляLoveYou
ЮляLoveYou
27.05.2021

Качественные: оловянные глаза, холодный день, длинный поезд, смелый поступок, добрый человек, глупый вопрос, сердечный привет, каменное лицо, короткое платье, толстый мальчик, синий платок, свинцовые тучи, тяжёлый портфель, глухой старик, волчий аппетит, собачий холод, змеиная улыбка, постное лицо, грандиозные планы, наблюдательный человек, трагическая судьба, деревянный голос, железная воля.

Относительные: оловянный солдатик, сердечные мышцы, каменный дом, московский метрополитен, детская литература, двойной подбородок, шерстяной костюм, свинцовая пуля, городской парк, тяжёлая промышленность, глухой согласный, волчья шуба, морская пехота, точильный станок, постное масло, куриный суп, беличий воротник, заячья шапка, декабрьские морозы, школьная форма.

Притяжательные ( чей ?) : дедов кабинет, Машина работа, синицыно гнездо, гусиная лапка, собачья конура, волчья пасть, оленьи рога, Катюшин велосипед, змеиный яд, мышиный хвостик, соседкин сад, куриная лапка, дедовы слова, птичий гомон, Серёжин портфель, Баренцево море, Берингов пролив.

4,8(34 оценок)
Ответ:
Это зависит от объёма, который может вмещать себя стакан, или бидон.
Допустим, стакан вмещает себя по 100 мл., тогда литровая бутылка(банка), будет вмещать в себя 10 стаканов воды(1 литр = 1000 мл., делим его на 100 мл., и получаем 10 стаканов воды).
А можно представить, что стакан вмещает себя по 200 мл., тогда литровая бутылка(или банка), будет вмещать себя 5 стаканов воды(1000 мл : 200 мл = 5 стаканов воды), такую же схему можно провернуть и с 250 мл. стаканом, и с 500 мл. стаканом.
Бидон - это ёмкость(сосуд), где хранится от 5 литров жидкости. 
Можем взять 5 литров бидон, тогда в нём будет вмещаться 5 литровых банок(1 банка - 1 литр), то есть 50 стаканов по 100 мл.(5000мл. : 100 мл. = 50 стаканов воды)
Такую же операцию можно провернуть и с 6, 7, 10, 15, 20, и т.д. литровыми бидонами. 
4,6(27 оценок)
Это интересно:
Новые ответы от MOGZ: Математика
logo
Вход Регистрация
Что ты хочешь узнать?
Спроси Mozg
Открыть лучший ответ