
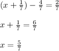
5/7
Пошаговое объяснение:
x+1/7=2/7+4/7
x+1/7=6/7
x=6/7-1/7
x=5/7
1. Немного непонятно выражение.
2. Так как количество груш, растущих в саду, составляет 32% количества яблонь, находим:
50*0,32 = 50*32/100 = 16 груш
Найдем, какое количество вишен растет в саду (обозначим через х), если груши составляют 4/7 от количества вишен:
х*4/7 = 16
х = 16*7/4 = 28
ответ: 16 груш, 28 вишен.
3. На фото ниже.
4. Пусть первый вагон - 3х, тогда второй - х. Когда из первого вагона вышло 28 пассажиров - (3х-28), а из второго 4 пассажира (х-4), то в обоих вагонах пассажиров стало поровну. Составим уравнение:
3х - 28 = х - 4
2х = 24
х = 12 (п.) - во 2 вагоне
12*3 = 36 (п.) - в 1 вагоне
ответ: 36 пассажиров, 12 пассажиров.
5.

1. Немного непонятно выражение.
2. Так как количество груш, растущих в саду, составляет 32% количества яблонь, находим:
50*0,32 = 50*32/100 = 16 груш
Найдем, какое количество вишен растет в саду (обозначим через х), если груши составляют 4/7 от количества вишен:
х*4/7 = 16
х = 16*7/4 = 28
ответ: 16 груш, 28 вишен.
3. На фото ниже.
4. Пусть первый вагон - 3х, тогда второй - х. Когда из первого вагона вышло 28 пассажиров - (3х-28), а из второго 4 пассажира (х-4), то в обоих вагонах пассажиров стало поровну. Составим уравнение:
3х - 28 = х - 4
2х = 24
х = 12 (п.) - во 2 вагоне
12*3 = 36 (п.) - в 1 вагоне
ответ: 36 пассажиров, 12 пассажиров.
5.
