М
Молодежь
К
Компьютеры-и-электроника
Д
Дом-и-сад
С
Стиль-и-уход-за-собой
П
Праздники-и-традиции
Т
Транспорт
П
Путешествия
С
Семейная-жизнь
Ф
Философия-и-религия
Б
Без категории
М
Мир-работы
Х
Хобби-и-рукоделие
И
Искусство-и-развлечения
В
Взаимоотношения
З
Здоровье
К
Кулинария-и-гостеприимство
Ф
Финансы-и-бизнес
П
Питомцы-и-животные
О
Образование
О
Образование-и-коммуникации
hadaevbogdan
hadaevbogdan
22.06.2021 03:09 •  Математика

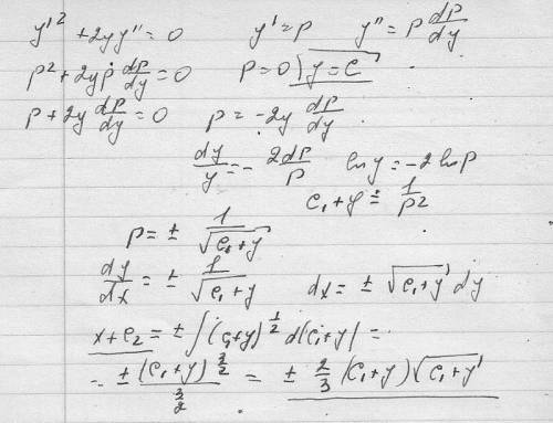
Y’=y^2 дифференциальное уравнение, решите

👇
Ответ:
Shaman12233
Shaman12233
22.06.2021

Пошаговое объяснение:Пиши если не так


Y’=y^2 дифференциальное уравнение, решите
4,8(87 оценок)
Открыть все ответы
Ответ:
Andriy1208
Andriy1208
22.06.2021

(

6

1

)

4

=

6

4

1

=

1296

1

(−

2

1

)

6

=

2

6

1

=

64

1

(−3

3

1

)

3

=−(

3

10

)

3

=

=−

3

3

10

3

=−

27

1000

=−37

27

1

\begin{gathered}{4}^{3} + {3}^{5} = 64 + 243 = 307 \\ (0.6) ^{3} - (0.4) ^{3} = \\ = (\frac{3}{5} ) ^{3} - ( \frac{2}{5} )^{3} = \frac{27 - 8}{125} = \\ = \frac{19}{125}\end{gathered}

4

3

+3

5

=64+243=307

(0.6)

3

−(0.4)

3

=

=(

5

3

)

3

−(

5

2

)

3

=

125

27−8

=

=

125

19

\begin{gathered}0.12 \times {5}^{4} = 0.12 \times {5}^{2} \times {5}^{2} = \\ = 3 \times 25 = 75\end{gathered}

0.12×5

4

=0.12×5

2

×5

2

=

=3×25=75

4•(2-3m)-(6-m)-2•(3m+4)=

=8-12m-6+m-6m-8=

= -17m-6

4,8(78 оценок)
Ответ:
вика3876
вика3876
22.06.2021

(

6

1

)

4

=

6

4

1

=

1296

1

(−

2

1

)

6

=

2

6

1

=

64

1

(−3

3

1

)

3

=−(

3

10

)

3

=

=−

3

3

10

3

=−

27

1000

=−37

27

1

\begin{gathered}{4}^{3} + {3}^{5} = 64 + 243 = 307 \\ (0.6) ^{3} - (0.4) ^{3} = \\ = (\frac{3}{5} ) ^{3} - ( \frac{2}{5} )^{3} = \frac{27 - 8}{125} = \\ = \frac{19}{125}\end{gathered}

4

3

+3

5

=64+243=307

(0.6)

3

−(0.4)

3

=

=(

5

3

)

3

−(

5

2

)

3

=

125

27−8

=

=

125

19

\begin{gathered}0.12 \times {5}^{4} = 0.12 \times {5}^{2} \times {5}^{2} = \\ = 3 \times 25 = 75\end{gathered}

0.12×5

4

=0.12×5

2

×5

2

=

=3×25=75

4•(2-3m)-(6-m)-2•(3m+4)=

=8-12m-6+m-6m-8=

= -17m-6

4,7(29 оценок)
Это интересно:
Новые ответы от MOGZ: Математика
Полный доступ к MOGZ
Живи умнее Безлимитный доступ к MOGZ Оформи подписку
logo
Вход Регистрация
Что ты хочешь узнать?
Спроси Mozg
Открыть лучший ответ