М
Молодежь
К
Компьютеры-и-электроника
Д
Дом-и-сад
С
Стиль-и-уход-за-собой
П
Праздники-и-традиции
Т
Транспорт
П
Путешествия
С
Семейная-жизнь
Ф
Философия-и-религия
Б
Без категории
М
Мир-работы
Х
Хобби-и-рукоделие
И
Искусство-и-развлечения
В
Взаимоотношения
З
Здоровье
К
Кулинария-и-гостеприимство
Ф
Финансы-и-бизнес
П
Питомцы-и-животные
О
Образование
О
Образование-и-коммуникации
4fhfhiukhriu
4fhfhiukhriu
28.12.2021 18:29 •  Математика

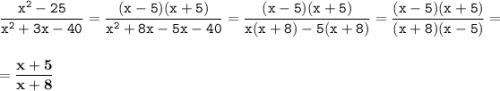
Сократи дробь (x2-25)/(x2 +3x-40)​

👇
Ответ:
temauvarov228
temauvarov228
28.12.2021

\displaystyle \tt \frac{x^2-25}{x^2+3x-40}=\frac{(x-5)(x+5)}{x^2+8x-5x-40}=\frac{(x-5)(x+5)}{x(x+8)-5(x+8)}=\frac{(x-5)(x+5)}{(x+8)(x-5)}=\\\\\\\displaystyle \tt =\bold{\frac{x+5}{x+8}}

4,6(42 оценок)
Открыть все ответы
Ответ:
yexevosux
yexevosux
28.12.2021
Давайте определим сколько замечательных чисел среди трехзначных. Трехзначные от 100 до 999. Значит сумма цифр в этих трехзначных варьируется от 1 до 27 (100 и 999 соответственно) . Значит должно быть 27 замечательных (на каждую сумму по одному замечательному) . Первым и минимальным будет 100 (сумма равна 1). Следующие от 101 до 109 (сумма от 2 до 10). Сумма=11 у числа 191. Следующие от 192 до 199 (сумма от 12 до 19). Сумма 20 у числа 299. И так далее. 21 - 399, 22 - 499, ..27 - 999. В итоге нужно посчитать сумму следующих чисел: от 100 до 109 включительно, от 192 до 199 включительно, и всех трехзначных чисел, оканчивающихся на "99", число сотен которых равно "3" и больше. Но этот вариант годен, если рассматривать, что замечательное число выбирается из стольки же значных чисел. А это скорее всего не так. Поэтому нужно из моего списка отсеить все числа, сумма цифр которых меньше 19 (99 - двузначное, сумма равна 18). Поэтому рассматриваем как замечательные числа числа от 199. То есть среди трехзначных чисел замечательными являются все заканчивающиеся на "99". Их сумма = (2+3+4+5+6+7+8+9+10)*100-9=5391
4,4(51 оценок)
Ответ:
akr999
akr999
28.12.2021
Сегодня столкнулся с такой проблемой как сделать так, что бы грипсы держались и не соскальзывали, создал тему и там мне дали несколько советов как сделать, так что бы они держались. Решил собрать все советы в одной теме для того, что бы было проще. В поиске такой темы не нашел, нашел только как надеть грипсы. 

Итак, есть несколько надеть грипсы Берем грипсы, лак для волос и внутрь грипсы брызгаем, надеваем на руль, надевать надо быстро потому, что лак быстро сохнет и оставляем на часа 4 (так делал я Покупаем сладкую воду (Лимонад, Спрайт, Кола, Фанта) на крайний случай берем воду и сахар вода должна быть горячей для того, что бы сахар растворился в ней, потом чуть-чуть ждем, что бы вода остыла и наносим сладкую воду на руль или на грипсу и оставляем на ночь. Мне этот не но друг делал так и все нормально может у меня грипсы не правильные Покупаем сок (Лимонный или Апельсиновый), и тоже наносим на грипсу и на руль Берем клей ПВА, наносим внутрь грипсы, и одеваем на руль, подождать надо будет около 12 часов, можно еще моментом, но тогда при замене грипс сохранить грипсу в целости и сохранности не удастся, краска руля может тоже пострадать Берем простой дейзик, брызгаем на руль и в грипсы. Надевается легко даже крутить не надо, за час высыхают и все держит нормально (Вариант Разогреваем грипсу, натягиваем на руль, она, когда остынет, неплохо прилипнет (Вариант Намочить спиртом и засунуть. Держится, не проворачивается (Вариант Одну часть руля затыкаешь ладонью, на вторую натягиваешь сухую грипсу (внутри создаётся давление и грипса раздуваясь - натягивается), я так одеваю,
там правда не натягивается буквально 2-3мм, но это прижимается заглушкой и со временем всё становится  нормально (Вариант Кладешь грипсу в горячую воду или нагреваешь феном, при нагревании она расширяется и быстро натягиваешь на руль, через пару минут она остывает и сужается, тем самым плотно сидит на руле (Вариант Берем подсолнечное масло и капелькой масла натираем внутри грипсы и можно немножко натереть руль. Легко надеваешь грипсу и оставляешь на час-полтора. Я не знаю, почему и как это происходит, но масло быстро засыхает и грипса сидит крепко. (Вариант fixx)

Вывод:Разные материалы сидят по-разному. Грипсы из мягкой резины перекручиваются быстрее. По моему опыту, лучше всего сидят прозрачные грипсы. У меня сейчас прозрачные Odyssey Aaron Ross - мягкие на ощупь, стильные, и при этом, посаженные на масло, сидят вообще намертво. (Вывод fixx)Под разные грипсы, подходят разные Если не хотите заморачиваться, купите грипсы на замках и будет вам счастье. 

Надеюсь, тема будет полезна. Тема создана не для поднятия рейтинга, сегодня сам столкнулся с такой ситуацией.
4,5(95 оценок)
Новые ответы от MOGZ: Математика
logo
Вход Регистрация
Что ты хочешь узнать?
Спроси Mozg
Открыть лучший ответ